P0022.1
P0022.1
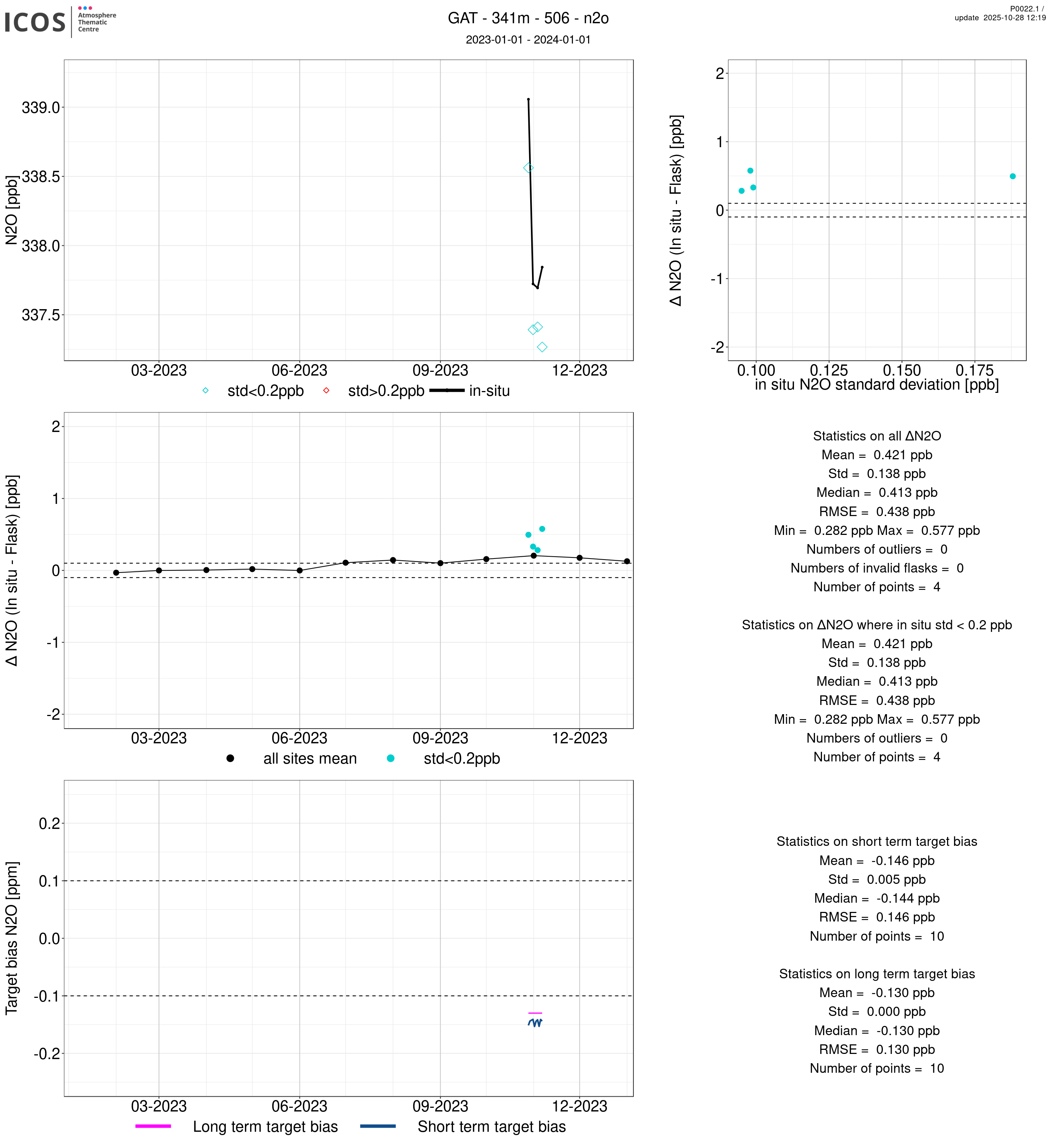
P0022.1 product shows the ambient air -flask difference over one year. For the given site and instrument/CTS, the upper left box plot displays the timeseries of air and flask species ; the middle left box shows the air-flask difference over time while the lower left box plot shows the LT and ST bias. The upper right box plot shows the air- flask difference versus the air standard deviation. Colors show the standard deviation categories. Grey points indicates data that are outside the y-axis.
The flask value is calculated using the weights provided by the flask sampler. No offset is applied for the time lag between the lines.
On the right, statistics for all the data or only for the data where the air standard deviation is low are shown.
| Name | Size | Last modified |
| P0022.1_CBW_1113_ch4.png | 793.1 kB | April 13, 2026, 11:07 a.m. |
| P0022.1_CBW_1113_co2.png | 833.0 kB | April 13, 2026, 11:06 a.m. |
| P0022.1_CBW_1514_ch4.png | 482.4 kB | May 23, 2025, 1:37 p.m. |
| P0022.1_CBW_1514_co.png | 519.4 kB | May 23, 2025, 1:38 p.m. |
| P0022.1_CBW_1514_co2.png | 497.1 kB | May 23, 2025, 1:37 p.m. |
| P0022.1_CBW_1835_co.png | 478.8 kB | April 13, 2026, 11:08 a.m. |
| P0022.1_CBW_1835_n2o.png | 494.5 kB | April 13, 2026, 11:09 a.m. |
| P0022.1_CBW_970_ch4.png | 856.5 kB | April 13, 2026, 11:07 a.m. |
| P0022.1_CBW_970_co2.png | 915.2 kB | April 13, 2026, 11:06 a.m. |
| P0022.1_CBW_971_co.png | 759.4 kB | April 13, 2026, 11:08 a.m. |
| P0022.1_CBW_971_n2o.png | 815.5 kB | April 13, 2026, 11:09 a.m. |
| P0022.1_CBW_CTS_ch4.png | 614.8 kB | Dec. 8, 2025, 12:25 p.m. |
| P0022.1_CBW_CTS_co2.png | 719.2 kB | Dec. 8, 2025, 12:24 p.m. |
| P0022.1_GAT_1375_ch4.png | 937.5 kB | April 13, 2026, 11:10 a.m. |
| P0022.1_GAT_1375_co2.png | 936.4 kB | April 13, 2026, 11:09 a.m. |
| P0022.1_GAT_1640_co.png | 880.5 kB | April 13, 2026, 11:10 a.m. |
| P0022.1_GAT_1640_n2o.png | 883.7 kB | April 13, 2026, 11:11 a.m. |
| P0022.1_GAT_506_co.png | 411.6 kB | Oct. 28, 2025, 12:18 p.m. |
| P0022.1_GAT_506_n2o.png | 418.8 kB | Oct. 28, 2025, 12:19 p.m. |
| P0022.1_GAT_703_co.png | 435.8 kB | Feb. 7, 2025, 8:38 a.m. |
| P0022.1_GAT_703_n2o.png | 433.2 kB | Feb. 7, 2025, 8:39 a.m. |
| P0022.1_GAT_CTS_ch4.png | 663.1 kB | Dec. 8, 2025, 12:27 p.m. |
| P0022.1_GAT_CTS_co.png | 641.4 kB | Dec. 8, 2025, 12:28 p.m. |
| P0022.1_GAT_CTS_co2.png | 678.7 kB | Dec. 8, 2025, 12:26 p.m. |
| P0022.1_GAT_CTS_n2o.png | 673.8 kB | Dec. 8, 2025, 12:28 p.m. |
| P0022.1_HPB_1178_co.png | 823.1 kB | April 13, 2026, 11:13 a.m. |
| P0022.1_HPB_1178_n2o.png | 900.6 kB | April 13, 2026, 11:13 a.m. |
| P0022.1_HPB_1516_ch4.png | 938.3 kB | April 13, 2026, 11:12 a.m. |
| P0022.1_HPB_1516_co2.png | 964.6 kB | April 13, 2026, 11:12 a.m. |
| P0022.1_HPB_1640_co.png | 415.3 kB | Oct. 28, 2025, 12:20 p.m. |
| P0022.1_HPB_1640_n2o.png | 416.6 kB | Oct. 28, 2025, 12:21 p.m. |
| P0022.1_HPB_382_ch4.png | 450.2 kB | April 10, 2025, 2:05 p.m. |
| P0022.1_HPB_382_co.png | 455.6 kB | April 10, 2025, 2:06 p.m. |
| P0022.1_HPB_382_co2.png | 450.0 kB | April 10, 2025, 2:04 p.m. |
| P0022.1_HPB_506_co.png | 445.9 kB | April 10, 2025, 2:06 p.m. |
| P0022.1_HPB_506_n2o.png | 434.8 kB | April 10, 2025, 2:07 p.m. |
| P0022.1_HPB_974_co.png | 503.6 kB | May 23, 2025, 1:41 p.m. |
| P0022.1_HPB_974_n2o.png | 515.7 kB | May 23, 2025, 1:42 p.m. |
| P0022.1_HPB_CTS_ch4.png | 651.2 kB | Dec. 8, 2025, 12:29 p.m. |
| P0022.1_HPB_CTS_co.png | 658.9 kB | Dec. 8, 2025, 12:30 p.m. |
| P0022.1_HPB_CTS_co2.png | 650.2 kB | Dec. 8, 2025, 12:29 p.m. |
| P0022.1_HPB_CTS_n2o.png | 687.9 kB | Dec. 8, 2025, 12:31 p.m. |
| P0022.1_HTM_1238_ch4.png | 716.2 kB | April 13, 2026, 11:15 a.m. |
| P0022.1_HTM_1238_co.png | 819.2 kB | April 13, 2026, 11:15 a.m. |
| P0022.1_HTM_1238_co2.png | 707.6 kB | April 13, 2026, 11:14 a.m. |
| P0022.1_HTM_1699_co.png | 528.7 kB | April 13, 2026, 11:15 a.m. |
| P0022.1_HTM_1699_n2o.png | 505.3 kB | April 13, 2026, 11:16 a.m. |
| P0022.1_HTM_CTS_ch4.png | 655.8 kB | Dec. 8, 2025, 12:32 p.m. |
| P0022.1_HTM_CTS_co.png | 754.4 kB | Dec. 8, 2025, 12:33 p.m. |
| P0022.1_HTM_CTS_co2.png | 606.9 kB | Dec. 8, 2025, 12:31 p.m. |
| P0022.1_HTM_CTS_n2o.png | 423.9 kB | Dec. 8, 2025, 12:33 p.m. |
| P0022.1_JFJ_1102_co.png | 689.6 kB | April 13, 2026, 11:18 a.m. |
| P0022.1_JFJ_1102_n2o.png | 648.8 kB | April 13, 2026, 11:19 a.m. |
| P0022.1_JFJ_1788_ch4.png | 552.0 kB | April 13, 2026, 11:17 a.m. |
| P0022.1_JFJ_1788_co.png | 572.5 kB | April 13, 2026, 11:18 a.m. |
| P0022.1_JFJ_1788_co2.png | 556.2 kB | April 13, 2026, 11:16 a.m. |
| P0022.1_JFJ_226_ch4.png | 536.0 kB | April 13, 2026, 11:17 a.m. |
| P0022.1_JFJ_226_co.png | 548.3 kB | April 13, 2026, 11:18 a.m. |
| P0022.1_JFJ_226_co2.png | 570.0 kB | April 13, 2026, 11:17 a.m. |
| P0022.1_JFJ_CTS_ch4.png | 590.9 kB | Dec. 8, 2025, 12:35 p.m. |
| P0022.1_JFJ_CTS_co.png | 659.8 kB | Dec. 8, 2025, 12:36 p.m. |
| P0022.1_JFJ_CTS_co2.png | 620.9 kB | Dec. 8, 2025, 12:34 p.m. |
| P0022.1_JFJ_CTS_n2o.png | 553.1 kB | Dec. 8, 2025, 12:36 p.m. |
| P0022.1_KIT_382_ch4.png | 462.4 kB | Nov. 18, 2025, 8:53 a.m. |
| P0022.1_KIT_382_co.png | 458.8 kB | Nov. 18, 2025, 8:54 a.m. |
| P0022.1_KIT_382_co2.png | 474.1 kB | Nov. 18, 2025, 8:51 a.m. |
| P0022.1_KIT_458_ch4.png | 515.0 kB | April 13, 2026, 11:20 a.m. |
| P0022.1_KIT_458_co2.png | 541.7 kB | April 13, 2026, 11:19 a.m. |
| P0022.1_KIT_489_ch4.png | 874.0 kB | April 13, 2026, 11:20 a.m. |
| P0022.1_KIT_489_co.png | 822.7 kB | April 13, 2026, 11:21 a.m. |
| P0022.1_KIT_489_co2.png | 887.9 kB | April 13, 2026, 11:19 a.m. |
| P0022.1_KIT_702_co.png | 815.5 kB | April 13, 2026, 11:21 a.m. |
| P0022.1_KIT_702_n2o.png | 849.8 kB | April 13, 2026, 11:22 a.m. |
| P0022.1_KIT_CTS_ch4.png | 677.5 kB | Dec. 8, 2025, 12:38 p.m. |
| P0022.1_KIT_CTS_co.png | 652.2 kB | Dec. 8, 2025, 12:39 p.m. |
| P0022.1_KIT_CTS_co2.png | 609.7 kB | Dec. 8, 2025, 12:37 p.m. |
| P0022.1_KIT_CTS_n2o.png | 686.2 kB | Dec. 8, 2025, 12:39 p.m. |
| P0022.1_KRE_1496_ch4.png | 846.7 kB | April 13, 2026, 11:23 a.m. |
| P0022.1_KRE_1496_co2.png | 896.8 kB | April 13, 2026, 11:22 a.m. |
| P0022.1_KRE_1799_co.png | 535.7 kB | April 13, 2026, 11:23 a.m. |
| P0022.1_KRE_1799_n2o.png | 546.4 kB | April 13, 2026, 11:24 a.m. |
| P0022.1_KRE_181_co.png | 744.9 kB | April 13, 2026, 11:23 a.m. |
| P0022.1_KRE_181_n2o.png | 806.5 kB | April 13, 2026, 11:24 a.m. |
| P0022.1_LIN_1515_ch4.png | 958.5 kB | April 13, 2026, 11:25 a.m. |
| P0022.1_LIN_1515_co2.png | 958.0 kB | April 13, 2026, 11:24 a.m. |
| P0022.1_LIN_1677_co.png | 837.4 kB | April 13, 2026, 11:26 a.m. |
| P0022.1_LIN_1677_n2o.png | 868.4 kB | April 13, 2026, 11:26 a.m. |
| P0022.1_LIN_413_ch4.png | 438.8 kB | April 10, 2025, 2:20 p.m. |
| P0022.1_LIN_413_co2.png | 437.2 kB | April 10, 2025, 2:19 p.m. |
| P0022.1_LIN_498_co.png | 605.5 kB | April 13, 2026, 11:26 a.m. |
| P0022.1_LIN_498_n2o.png | 653.4 kB | April 13, 2026, 11:26 a.m. |
| P0022.1_LIN_CTS_ch4.png | 667.6 kB | Dec. 8, 2025, 12:42 p.m. |
| P0022.1_LIN_CTS_co.png | 670.0 kB | Dec. 8, 2025, 12:43 p.m. |
| P0022.1_LIN_CTS_co2.png | 683.4 kB | Nov. 18, 2025, 8:59 a.m. |
| P0022.1_LIN_CTS_n2o.png | 715.0 kB | Dec. 8, 2025, 12:44 p.m. |
| P0022.1_LMP_1198_ch4.png | 538.6 kB | April 13, 2026, 12:01 p.m. |
| P0022.1_LMP_1198_co.png | 581.6 kB | April 13, 2026, 12:01 p.m. |
| P0022.1_LMP_1198_co2.png | 573.4 kB | April 13, 2026, noon |
| P0022.1_LMP_1289_ch4.png | 474.9 kB | April 13, 2026, 12:01 p.m. |
| P0022.1_LMP_1289_co2.png | 497.0 kB | April 13, 2026, noon |
| P0022.1_LMP_CTS_ch4.png | 444.4 kB | Dec. 8, 2025, 1:20 p.m. |
| P0022.1_LMP_CTS_co.png | 445.0 kB | Dec. 8, 2025, 1:21 p.m. |
| P0022.1_LMP_CTS_co2.png | 539.3 kB | Dec. 8, 2025, 1:19 p.m. |
| P0022.1_MEU_330_ch4.png | 680.9 kB | April 13, 2026, 12:05 p.m. |
| P0022.1_MEU_330_co.png | 671.6 kB | April 13, 2026, 12:05 p.m. |
| P0022.1_MEU_330_co2.png | 718.4 kB | April 13, 2026, 12:04 p.m. |
| P0022.1_MHD_695_ch4.png | 540.6 kB | April 13, 2026, 11:55 a.m. |
| P0022.1_MHD_695_co.png | 595.8 kB | April 13, 2026, 11:56 a.m. |
| P0022.1_MHD_695_co2.png | 570.4 kB | April 13, 2026, 11:55 a.m. |
| P0022.1_MHD_955_ch4.png | 543.8 kB | April 13, 2026, 11:56 a.m. |
| P0022.1_MHD_955_co.png | 619.1 kB | April 13, 2026, 11:56 a.m. |
| P0022.1_MHD_955_co2.png | 570.9 kB | April 13, 2026, 11:55 a.m. |
| P0022.1_NOR_462_ch4.png | 807.1 kB | April 13, 2026, 11:30 a.m. |
| P0022.1_NOR_462_co.png | 857.4 kB | April 13, 2026, 11:30 a.m. |
| P0022.1_NOR_462_co2.png | 776.9 kB | April 13, 2026, 11:29 a.m. |
| P0022.1_NOR_CTS_ch4.png | 641.5 kB | Dec. 8, 2025, 12:45 p.m. |
| P0022.1_NOR_CTS_co.png | 714.0 kB | Dec. 8, 2025, 12:46 p.m. |
| P0022.1_NOR_CTS_co2.png | 671.5 kB | Dec. 8, 2025, 12:45 p.m. |
| P0022.1_OPE_379_ch4.png | 755.6 kB | April 13, 2026, 11:32 a.m. |
| P0022.1_OPE_379_co2.png | 832.5 kB | April 13, 2026, 11:31 a.m. |
| P0022.1_OPE_506_co.png | 537.5 kB | April 13, 2026, 11:32 a.m. |
| P0022.1_OPE_506_n2o.png | 541.8 kB | April 13, 2026, 11:33 a.m. |
| P0022.1_OPE_728_ch4.png | 814.4 kB | April 13, 2026, 11:32 a.m. |
| P0022.1_OPE_728_co.png | 825.6 kB | April 13, 2026, 11:33 a.m. |
| P0022.1_OPE_728_co2.png | 894.7 kB | April 13, 2026, 11:31 a.m. |
| P0022.1_OPE_967_co.png | 741.8 kB | April 13, 2026, 11:33 a.m. |
| P0022.1_OPE_967_n2o.png | 724.6 kB | April 13, 2026, 11:33 a.m. |
| P0022.1_OPE_CTS_ch4.png | 694.4 kB | Dec. 8, 2025, 12:48 p.m. |
| P0022.1_OPE_CTS_co.png | 681.7 kB | Dec. 8, 2025, 12:49 p.m. |
| P0022.1_OPE_CTS_co2.png | 741.9 kB | Dec. 8, 2025, 12:47 p.m. |
| P0022.1_OPE_CTS_n2o.png | 684.8 kB | Dec. 8, 2025, 12:49 p.m. |
| P0022.1_OXK_1677_co.png | 460.6 kB | April 13, 2026, 11:35 a.m. |
| P0022.1_OXK_1677_n2o.png | 490.2 kB | April 13, 2026, 11:36 a.m. |
| P0022.1_OXK_456_ch4.png | 780.9 kB | April 13, 2026, 11:35 a.m. |
| P0022.1_OXK_456_co2.png | 804.2 kB | April 13, 2026, 11:34 a.m. |
| P0022.1_OXK_534_co.png | 717.4 kB | April 13, 2026, 11:35 a.m. |
| P0022.1_OXK_534_n2o.png | 751.2 kB | April 13, 2026, 11:36 a.m. |
| P0022.1_OXK_CTS_ch4.png | 720.1 kB | Dec. 8, 2025, 12:51 p.m. |
| P0022.1_OXK_CTS_co.png | 662.0 kB | Dec. 8, 2025, 12:51 p.m. |
| P0022.1_OXK_CTS_co2.png | 704.9 kB | Dec. 8, 2025, 12:50 p.m. |
| P0022.1_OXK_CTS_n2o.png | 720.0 kB | Dec. 8, 2025, 12:52 p.m. |
| P0022.1_PAL_1133_co.png | 446.9 kB | Nov. 18, 2025, 9:14 a.m. |
| P0022.1_PAL_1133_n2o.png | 416.5 kB | Nov. 18, 2025, 9:14 a.m. |
| P0022.1_PAL_485_ch4.png | 780.0 kB | April 13, 2026, 11:37 a.m. |
| P0022.1_PAL_485_co.png | 793.4 kB | April 13, 2026, 11:38 a.m. |
| P0022.1_PAL_485_co2.png | 781.8 kB | April 13, 2026, 11:37 a.m. |
| P0022.1_PAL_CTS_ch4.png | 707.9 kB | Dec. 8, 2025, 12:54 p.m. |
| P0022.1_PAL_CTS_co2.png | 728.1 kB | Dec. 8, 2025, 12:53 p.m. |
| P0022.1_ROV_396_ch4.png | 615.6 kB | April 13, 2026, 12:03 p.m. |
| P0022.1_ROV_396_co.png | 657.2 kB | April 13, 2026, 12:04 p.m. |
| P0022.1_ROV_396_co2.png | 665.1 kB | April 13, 2026, 12:02 p.m. |
| P0022.1_ROV_CTS_ch4.png | 594.5 kB | Dec. 8, 2025, 1:22 p.m. |
| P0022.1_ROV_CTS_co.png | 428.3 kB | Dec. 8, 2025, 1:23 p.m. |
| P0022.1_ROV_CTS_co2.png | 518.8 kB | Dec. 8, 2025, 1:22 p.m. |
| P0022.1_SAC_329_ch4.png | 769.3 kB | April 13, 2026, 11:39 a.m. |
| P0022.1_SAC_329_co.png | 747.1 kB | April 13, 2026, 11:40 a.m. |
| P0022.1_SAC_329_co2.png | 849.9 kB | April 13, 2026, 11:38 a.m. |
| P0022.1_SAC_395_ch4.png | 765.2 kB | April 13, 2026, 11:39 a.m. |
| P0022.1_SAC_395_co.png | 773.7 kB | April 13, 2026, 11:40 a.m. |
| P0022.1_SAC_395_co2.png | 847.8 kB | April 13, 2026, 11:39 a.m. |
| P0022.1_SAC_781_co.png | 779.2 kB | April 13, 2026, 11:40 a.m. |
| P0022.1_SAC_781_n2o.png | 777.2 kB | April 13, 2026, 11:41 a.m. |
| P0022.1_SAC_CTS_ch4.png | 756.8 kB | Dec. 8, 2025, 12:56 p.m. |
| P0022.1_SAC_CTS_co.png | 722.2 kB | Dec. 8, 2025, 12:57 p.m. |
| P0022.1_SAC_CTS_co2.png | 791.8 kB | Dec. 8, 2025, 12:56 p.m. |
| P0022.1_SAC_CTS_n2o.png | 739.7 kB | Dec. 8, 2025, 12:58 p.m. |
| P0022.1_SMR_519_ch4.png | 609.6 kB | April 13, 2026, 11:42 a.m. |
| P0022.1_SMR_519_co.png | 695.1 kB | April 13, 2026, 11:42 a.m. |
| P0022.1_SMR_519_co2.png | 648.8 kB | April 13, 2026, 11:41 a.m. |
| P0022.1_SMR_CTS_ch4.png | 456.4 kB | Dec. 8, 2025, 12:59 p.m. |
| P0022.1_SMR_CTS_co2.png | 532.8 kB | Dec. 8, 2025, 12:59 p.m. |
| P0022.1_SSL_1072_ch4.png | 602.8 kB | April 13, 2026, 11:58 a.m. |
| P0022.1_SSL_1072_co2.png | 627.7 kB | April 13, 2026, 11:57 a.m. |
| P0022.1_SSL_1074_co.png | 578.5 kB | April 13, 2026, 11:58 a.m. |
| P0022.1_SSL_1074_n2o.png | 618.4 kB | April 13, 2026, 11:59 a.m. |
| P0022.1_SSL_CTS_ch4.png | 503.0 kB | Dec. 8, 2025, 1:17 p.m. |
| P0022.1_SSL_CTS_co.png | 525.1 kB | Dec. 8, 2025, 1:18 p.m. |
| P0022.1_SSL_CTS_co2.png | 548.6 kB | Dec. 8, 2025, 1:17 p.m. |
| P0022.1_SSL_CTS_n2o.png | 545.1 kB | Dec. 8, 2025, 1:19 p.m. |
| P0022.1_STE_1749_ch4.png | 732.7 kB | April 13, 2026, 11:44 a.m. |
| P0022.1_STE_1749_co2.png | 784.6 kB | April 13, 2026, 11:43 a.m. |
| P0022.1_STE_487_ch4.png | 677.2 kB | April 13, 2026, 11:44 a.m. |
| P0022.1_STE_487_co2.png | 712.4 kB | April 13, 2026, 11:43 a.m. |
| P0022.1_STE_533_co.png | 806.0 kB | April 13, 2026, 11:45 a.m. |
| P0022.1_STE_533_n2o.png | 919.7 kB | April 13, 2026, 11:45 a.m. |
| P0022.1_STE_CTS_ch4.png | 638.6 kB | Dec. 8, 2025, 1:02 p.m. |
| P0022.1_STE_CTS_co.png | 664.2 kB | Dec. 8, 2025, 1:02 p.m. |
| P0022.1_STE_CTS_co2.png | 710.2 kB | Dec. 8, 2025, 1:01 p.m. |
| P0022.1_STE_CTS_n2o.png | 728.0 kB | Dec. 8, 2025, 1:03 p.m. |
| P0022.1_SVB_1399_ch4.png | 709.2 kB | April 13, 2026, 11:47 a.m. |
| P0022.1_SVB_1399_co.png | 550.0 kB | April 13, 2026, 11:47 a.m. |
| P0022.1_SVB_1399_co2.png | 749.2 kB | April 13, 2026, 11:46 a.m. |
| P0022.1_SVB_1748_co.png | 609.3 kB | April 13, 2026, 11:48 a.m. |
| P0022.1_SVB_1748_n2o.png | 621.3 kB | April 13, 2026, 11:48 a.m. |
| P0022.1_SVB_464_ch4.png | 625.5 kB | April 13, 2026, 11:47 a.m. |
| P0022.1_SVB_464_co.png | 597.4 kB | April 13, 2026, 11:48 a.m. |
| P0022.1_SVB_464_co2.png | 657.9 kB | April 13, 2026, 11:46 a.m. |
| P0022.1_SVB_CTS_ch4.png | 409.6 kB | Dec. 8, 2025, 1:05 p.m. |
| P0022.1_SVB_CTS_co.png | 421.4 kB | Dec. 8, 2025, 1:06 p.m. |
| P0022.1_SVB_CTS_co2.png | 560.9 kB | Dec. 8, 2025, 1:04 p.m. |
| P0022.1_SVB_CTS_n2o.png | 424.3 kB | Dec. 8, 2025, 1:07 p.m. |
| P0022.1_TRN_460_ch4.png | 453.5 kB | April 13, 2026, 11:50 a.m. |
| P0022.1_TRN_460_co.png | 465.1 kB | April 13, 2026, 11:51 a.m. |
| P0022.1_TRN_460_co2.png | 470.9 kB | April 13, 2026, 11:49 a.m. |
| P0022.1_TRN_472_ch4.png | 666.6 kB | April 13, 2026, 11:50 a.m. |
| P0022.1_TRN_472_co.png | 678.0 kB | April 13, 2026, 11:51 a.m. |
| P0022.1_TRN_472_co2.png | 714.5 kB | April 13, 2026, 11:49 a.m. |
| P0022.1_TRN_701_co.png | 681.0 kB | April 13, 2026, 11:51 a.m. |
| P0022.1_TRN_701_n2o.png | 688.4 kB | April 13, 2026, 11:52 a.m. |
| P0022.1_TRN_CTS_ch4.png | 564.0 kB | Dec. 8, 2025, 1:09 p.m. |
| P0022.1_TRN_CTS_co.png | 567.0 kB | Dec. 8, 2025, 1:10 p.m. |
| P0022.1_TRN_CTS_co2.png | 616.1 kB | Dec. 8, 2025, 1:08 p.m. |
| P0022.1_TRN_CTS_n2o.png | 635.0 kB | Dec. 8, 2025, 1:11 p.m. |
| P0022.1_ZEP_1272_ch4.png | 512.0 kB | April 13, 2026, 11:53 a.m. |
| P0022.1_ZEP_1272_co.png | 553.6 kB | April 13, 2026, 11:54 a.m. |
| P0022.1_ZEP_1272_co2.png | 540.2 kB | April 13, 2026, 11:53 a.m. |
| P0022.1_ZEP_CTS_ch4.png | 470.4 kB | Dec. 8, 2025, 1:13 p.m. |
| P0022.1_ZEP_CTS_co.png | 503.4 kB | Dec. 8, 2025, 1:13 p.m. |
| P0022.1_ZEP_CTS_co2.png | 501.1 kB | Dec. 8, 2025, 1:12 p.m. |