P0004.3
NRT - Air and target - Last 10 rolling days
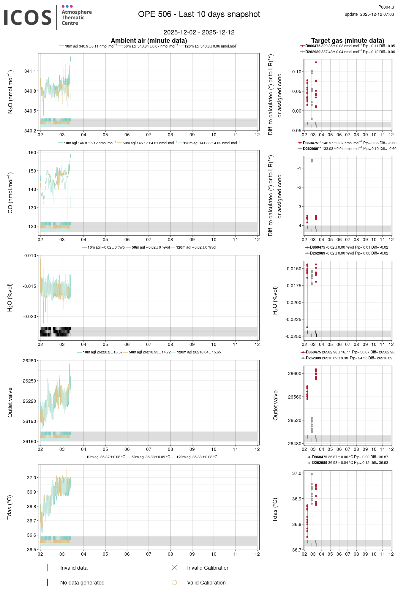
P0004.3 product shows the last 10 days air timeseries. For the given site and instrument, each left box plot displays the timeseries of a air species while ambient air is measured ; and each right box plot displays the timeseries of a air species while a target air is measured. Colors on the left plots represents sampling heights, colors on the right plot represents target tanks.
Details for ambient air (left column):
- Data used: ambient air hour data
- Y-axis: as defined in y-axis legend.
- Line color: One line per sampling height. The sampling height color code is the same as the one used in other products.
- Sampling height mean and SD: For each sampling height, the mean and standard deviation of the visible data is displayed with the color-scale legend.
- Timeframe: 10 rolling days
- Invalid / no data bar: If a air data is invalid, a colored tick will be displayed in the bottom grey bar. Similarly, if there is no data, the tick will be black. Valid calibration are marked with an orange circle, invalid calibration are marked with a red cross. Details for target gas (left column):
- Data used: target injection data
- Y-axis: For GHG species, the difference between the measured value and the calculated (if tank's legend is followed by a star "*") or assigned value is computed. For H2O, the absolute value is plotted.
- Line/point color: One line/point per short term target or long term target.
- Tank metrics: For each tank, the following metrics are calculated from visible data and displayed with the color-scale legend: absolute mean, standard deviation around this mean, peak to peak value, and mean of the difference between the relative mean and zero.
- Timeframe: 10 rolling days
- Invalid / no data bar: If a air data is invalid, a colored tick will be displayed in the bottom grey bar. Similarly, if there is no data, the tick will be black. Valid calibration are marked with an orange circle, invalid calibration are marked with a red cross.
| Name | Size | Last modified |
| P0004.3_BIR_547.png | 570.9 kB | April 14, 2026, 4:55 a.m. |
| P0004.3_CBW_1113.png | 420.9 kB | April 14, 2026, 5:02 a.m. |
| P0004.3_CBW_1495.png | 185.4 kB | March 31, 2026, 5:17 a.m. |
| P0004.3_CBW_1835.png | 311.3 kB | April 14, 2026, 5:04 a.m. |
| P0004.3_CBW_861.png | 155.6 kB | March 31, 2026, 5:05 a.m. |
| P0004.3_CBW_970.png | 514.2 kB | April 14, 2026, 4:57 a.m. |
| P0004.3_CBW_971.png | 520.8 kB | April 14, 2026, 4:59 a.m. |
| P0004.3_CMN_1690.png | 396.8 kB | April 14, 2026, 5:07 a.m. |
| P0004.3_CMN_1793.png | 488.9 kB | April 14, 2026, 5:09 a.m. |
| P0004.3_CMN_590.png | 318.7 kB | May 23, 2025, 5:04 a.m. |
| P0004.3_GAT_1375.png | 541.7 kB | April 14, 2026, 5:11 a.m. |
| P0004.3_GAT_1640.png | 539.6 kB | April 14, 2026, 5:13 a.m. |
| P0004.3_GAT_506.png | 247.2 kB | Nov. 16, 2023, 5:21 a.m. |
| P0004.3_HEL_399.png | 485.0 kB | April 14, 2026, 5:15 a.m. |
| P0004.3_HEL_499.png | 401.2 kB | April 14, 2026, 5:17 a.m. |
| P0004.3_HPB_1178.png | 607.4 kB | April 14, 2026, 5:19 a.m. |
| P0004.3_HPB_1516.png | 594.1 kB | April 14, 2026, 5:21 a.m. |
| P0004.3_HPB_1640.png | 154.4 kB | Nov. 10, 2023, 5:20 a.m. |
| P0004.3_HPB_974.png | 157.2 kB | Oct. 15, 2023, 4:16 a.m. |
| P0004.3_HTM_1238.png | 484.8 kB | April 14, 2026, 5:24 a.m. |
| P0004.3_HTM_1699.png | 154.7 kB | Feb. 23, 2026, 7:11 a.m. |
| P0004.3_HTM_506.png | 445.3 kB | April 14, 2026, 5:22 a.m. |
| P0004.3_HUN_1460.png | 474.9 kB | April 14, 2026, 5:26 a.m. |
| P0004.3_IPR_1075.png | 674.0 kB | April 14, 2026, 5:27 a.m. |
| P0004.3_IPR_619.png | 184.1 kB | Oct. 22, 2023, 4:18 a.m. |
| P0004.3_IZO_1174.png | 584.1 kB | April 14, 2026, 5:29 a.m. |
| P0004.3_IZO_1237.png | 339.9 kB | April 14, 2026, 5:31 a.m. |
| P0004.3_JFJ_1102.png | 365.2 kB | April 14, 2026, 5:33 a.m. |
| P0004.3_JFJ_1788.png | 437.5 kB | April 14, 2026, 5:35 a.m. |
| P0004.3_JFJ_226.png | 185.0 kB | June 13, 2025, 5:29 a.m. |
| P0004.3_JUE_1154.png | 590.5 kB | April 14, 2026, 5:38 a.m. |
| P0004.3_JUE_382.png | 184.9 kB | Feb. 6, 2026, 6:20 a.m. |
| P0004.3_JUE_460.png | 184.1 kB | April 18, 2024, 5:17 a.m. |
| P0004.3_JUE_857.png | 574.1 kB | April 14, 2026, 5:36 a.m. |
| P0004.3_KIT_382.png | 184.7 kB | Jan. 19, 2024, 5:24 a.m. |
| P0004.3_KIT_458.png | 297.2 kB | June 21, 2024, 5:34 a.m. |
| P0004.3_KIT_489.png | 675.6 kB | April 14, 2026, 5:39 a.m. |
| P0004.3_KIT_702.png | 574.8 kB | April 14, 2026, 5:41 a.m. |
| P0004.3_KRE_1496.png | 522.0 kB | April 14, 2026, 5:42 a.m. |
| P0004.3_KRE_1799.png | 525.6 kB | April 14, 2026, 5:44 a.m. |
| P0004.3_KRE_181.png | 156.9 kB | Aug. 27, 2025, 5:25 a.m. |
| P0004.3_LIN_1515.png | 573.0 kB | April 14, 2026, 5:45 a.m. |
| P0004.3_LIN_1677.png | 614.9 kB | April 14, 2026, 5:47 a.m. |
| P0004.3_LIN_498.png | 277.7 kB | Oct. 18, 2024, 5:25 a.m. |
| P0004.3_LMP_1198.png | 437.1 kB | April 14, 2026, 5:48 a.m. |
| P0004.3_LMP_1289.png | 155.7 kB | Sept. 1, 2025, 5:37 a.m. |
| P0004.3_LUT_460.png | 183.7 kB | June 24, 2024, 5:40 a.m. |
| P0004.3_LUT_465.png | 379.4 kB | April 14, 2026, 5:50 a.m. |
| P0004.3_LUT_890.png | 194.2 kB | April 14, 2026, 5:51 a.m. |
| P0004.3_MHD_695.png | 313.7 kB | April 14, 2026, 5:52 a.m. |
| P0004.3_MHD_955.png | 335.7 kB | April 14, 2026, 5:54 a.m. |
| P0004.3_NOR_462.png | 527.6 kB | April 14, 2026, 5:55 a.m. |
| P0004.3_OPE_379.png | 516.5 kB | April 14, 2026, 5:56 a.m. |
| P0004.3_OPE_506.png | 278.8 kB | Dec. 12, 2025, 7:03 a.m. |
| P0004.3_OPE_728.png | 644.3 kB | April 14, 2026, 5:58 a.m. |
| P0004.3_OPE_967.png | 530.7 kB | April 14, 2026, 5:59 a.m. |
| P0004.3_OXK_1677.png | 265.8 kB | May 23, 2024, 5:57 a.m. |
| P0004.3_OXK_1800.png | 480.9 kB | April 13, 2026, 5:49 a.m. |
| P0004.3_OXK_456.png | 551.0 kB | April 14, 2026, 6:01 a.m. |
| P0004.3_OXK_534.png | 243.1 kB | March 19, 2026, 7:09 a.m. |
| P0004.3_PAL_1133.png | 154.9 kB | May 16, 2024, 5:32 a.m. |
| P0004.3_PAL_1722.png | 156.9 kB | June 12, 2024, 6:07 a.m. |
| P0004.3_PAL_1834.png | 155.8 kB | April 13, 2026, 5:50 a.m. |
| P0004.3_PAL_485.png | 491.0 kB | April 13, 2026, 5:50 a.m. |
| P0004.3_PRS_1798.png | 338.4 kB | April 13, 2026, 5:51 a.m. |
| P0004.3_PRS_692.png | 206.5 kB | June 27, 2025, 6:06 a.m. |
| P0004.3_PUI_1175.png | 554.8 kB | April 13, 2026, 5:53 a.m. |
| P0004.3_PUY_473.png | 488.8 kB | April 13, 2026, 5:54 a.m. |
| P0004.3_PUY_510.png | 155.4 kB | March 2, 2026, 7:22 a.m. |
| P0004.3_RGL_115.png | 425.2 kB | April 13, 2026, 5:55 a.m. |
| P0004.3_RGL_1790.png | 393.7 kB | April 13, 2026, 5:56 a.m. |
| P0004.3_RUN_249.png | 469.3 kB | April 13, 2026, 6:11 a.m. |
| P0004.3_SAC_329.png | 622.3 kB | April 13, 2026, 5:58 a.m. |
| P0004.3_SAC_395.png | 695.6 kB | April 13, 2026, 5:59 a.m. |
| P0004.3_SAC_781.png | 632.8 kB | April 13, 2026, 6 a.m. |
| P0004.3_SMR_519.png | 610.7 kB | April 13, 2026, 6:02 a.m. |
| P0004.3_SNO_727.png | 391.6 kB | April 13, 2026, 6:03 a.m. |
| P0004.3_SSL_1072.png | 368.7 kB | April 13, 2026, 6:05 a.m. |
| P0004.3_SSL_1074.png | 155.6 kB | March 4, 2026, 7:43 a.m. |
| P0004.3_SSL_1791.png | 435.4 kB | April 13, 2026, 6:06 a.m. |
| P0004.3_SSL_881.png | 407.5 kB | April 13, 2026, 6:04 a.m. |
| P0004.3_STE_1749.png | 577.7 kB | April 13, 2026, 6:08 a.m. |
| P0004.3_STE_487.png | 261.9 kB | Dec. 19, 2024, 7 a.m. |
| P0004.3_STE_533.png | 554.7 kB | April 13, 2026, 6:07 a.m. |
| P0004.3_SVB_1399.png | 555.0 kB | April 13, 2026, 6:09 a.m. |
| P0004.3_SVB_1748.png | 156.3 kB | April 13, 2026, 6:09 a.m. |
| P0004.3_SVB_464.png | 302.1 kB | May 2, 2025, 6:18 a.m. |
| P0004.3_TOH_457.png | 606.1 kB | April 13, 2026, 6:12 a.m. |
| P0004.3_TOH_858.png | 546.4 kB | April 13, 2026, 6:13 a.m. |
| P0004.3_TRN_460.png | 184.8 kB | May 18, 2025, 6:49 a.m. |
| P0004.3_TRN_472.png | 688.4 kB | April 13, 2026, 6:14 a.m. |
| P0004.3_TRN_701.png | 581.6 kB | April 13, 2026, 6:15 a.m. |
| P0004.3_TRN_798.png | 155.4 kB | Feb. 3, 2025, 7:11 a.m. |
| P0004.3_UTO_1495.png | 185.4 kB | April 4, 2025, 6:18 a.m. |
| P0004.3_UTO_459.png | 185.8 kB | Sept. 8, 2025, 6:08 a.m. |
| P0004.3_UTO_460.png | 185.4 kB | Sept. 8, 2025, 6:08 a.m. |
| P0004.3_UTO_861.png | 155.8 kB | Sept. 8, 2025, 6:09 a.m. |
| P0004.3_UTO_999.png | 437.3 kB | April 13, 2026, 6:17 a.m. |
| P0004.3_WAO_1400.png | 391.8 kB | April 13, 2026, 6:19 a.m. |
| P0004.3_WAO_505.png | 556.7 kB | April 13, 2026, 6:18 a.m. |
| P0004.3_WES_1153.png | 375.9 kB | April 13, 2026, 6:20 a.m. |
| P0004.3_WES_460.png | 185.9 kB | Feb. 6, 2025, 7:08 a.m. |
| P0004.3_ZEP_1272.png | 433.8 kB | April 13, 2026, 6:21 a.m. |
| P0004.3_ZSF_1167.png | 493.1 kB | April 13, 2026, 6:23 a.m. |
| P0004.3_ZSF_1482.png | 382.9 kB | April 13, 2026, 6:24 a.m. |
| P0004.3_ZSF_1495.png | 185.9 kB | Dec. 9, 2025, 7:16 a.m. |
| P0004.3_ZSF_861.png | 155.5 kB | Jan. 5, 2026, 7:16 a.m. |
| P0004.3_ZSF_880.png | 155.6 kB | March 9, 2025, 7:29 a.m. |