P0003.1
Target timeseries
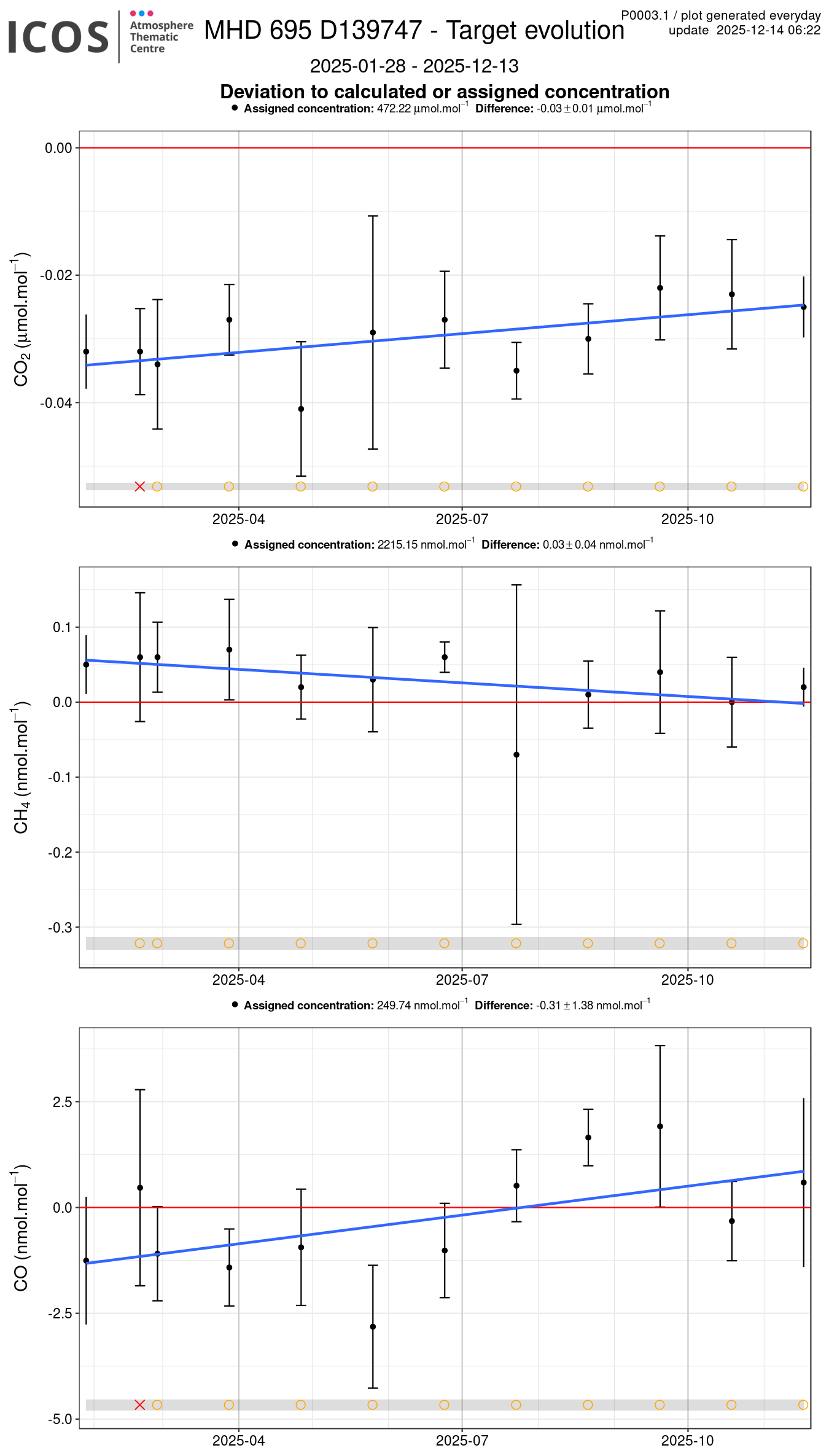
P0003.1 product shows calibration's equation evolution of each site/instrument. Each box plot displays, for a given species, the difference between the injection mean of the tank's concentrations measured by the instrument identified in the plot's header, and the reference concentration for this tank which is either assigned or calculated (see product P0000.3 for details).
Details:
- Data used: target data (injection mean)
- Y-axis: Measured concentration minus reference concentration, in species' unit.
- Points: each point shows a single injection mean ; the error bar shows the standard deviation of all injection's value around this mean.
- Blue line: Linear fit.
- Timeframe: all available data for the target/instrument/site connection
- Species: all species measured by the instrument. One "box plot" per species
| Name | Size | Last modified |
| P0003.1_BIR_547_D477534.png | 153.0 kB | Nov. 8, 2023, 5:33 a.m. |
| P0003.1_BIR_547_D477536.png | 528.2 kB | April 14, 2026, 4:54 a.m. |
| P0003.1_BIR_547_D477540.png | 292.0 kB | April 14, 2026, 4:54 a.m. |
| P0003.1_BIR_547_D920833.png | 570.7 kB | Jan. 28, 2025, 10:26 a.m. |
| P0003.1_CBW_1113_D420529.png | 269.7 kB | Dec. 1, 2023, 5:16 a.m. |
| P0003.1_CBW_1113_D594429.png | 117.5 kB | Sept. 19, 2025, 4:53 a.m. |
| P0003.1_CBW_1113_D594462.png | 106.0 kB | April 14, 2026, 4:56 a.m. |
| P0003.1_CBW_1113_D955033.png | 125.2 kB | April 14, 2026, 4:57 a.m. |
| P0003.1_CBW_1113_D955035.png | 136.4 kB | April 13, 2026, 4:52 a.m. |
| P0003.1_CBW_1113_D97828.png | 302.1 kB | July 23, 2025, 4:54 a.m. |
| P0003.1_CBW_1495_D784297.png | 160.0 kB | March 25, 2026, 5:56 a.m. |
| P0003.1_CBW_1835_D955033.png | 128.4 kB | April 13, 2026, 4:53 a.m. |
| P0003.1_CBW_1835_D955035.png | 203.1 kB | April 13, 2026, 4:52 a.m. |
| P0003.1_CBW_861_D784297.png | 184.5 kB | March 25, 2026, 5:52 a.m. |
| P0003.1_CBW_970_D420529.png | 257.8 kB | Dec. 1, 2023, 5:16 a.m. |
| P0003.1_CBW_970_D594429.png | 121.6 kB | Sept. 19, 2025, 4:52 a.m. |
| P0003.1_CBW_970_D594462.png | 97.8 kB | April 14, 2026, 4:55 a.m. |
| P0003.1_CBW_970_D955033.png | 127.6 kB | April 14, 2026, 4:55 a.m. |
| P0003.1_CBW_970_D955035.png | 138.3 kB | April 13, 2026, 4:50 a.m. |
| P0003.1_CBW_970_D97828.png | 302.4 kB | July 23, 2025, 4:52 a.m. |
| P0003.1_CBW_971_D420529.png | 208.1 kB | Dec. 1, 2023, 5:16 a.m. |
| P0003.1_CBW_971_D594429.png | 122.4 kB | April 14, 2026, 4:56 a.m. |
| P0003.1_CBW_971_D594462.png | 101.6 kB | April 14, 2026, 4:55 a.m. |
| P0003.1_CBW_971_D955033.png | 109.2 kB | April 14, 2026, 4:56 a.m. |
| P0003.1_CBW_971_D955035.png | 122.7 kB | April 13, 2026, 4:50 a.m. |
| P0003.1_CBW_971_D97828.png | 291.5 kB | July 23, 2025, 4:53 a.m. |
| P0003.1_CMN_1690_D550034.png | 112.3 kB | April 14, 2026, 5:01 a.m. |
| P0003.1_CMN_1690_D550035.png | 274.4 kB | April 14, 2026, 5:01 a.m. |
| P0003.1_CMN_1690_D550036.png | 304.3 kB | July 15, 2025, 4:48 a.m. |
| P0003.1_CMN_1793_D550034.png | 138.1 kB | April 14, 2026, 5:02 a.m. |
| P0003.1_CMN_1793_D550035.png | 448.0 kB | April 14, 2026, 5:02 a.m. |
| P0003.1_CMN_1793_D550036.png | 220.3 kB | July 15, 2025, 4:50 a.m. |
| P0003.1_CMN_590_D550034.png | 161.5 kB | May 16, 2025, 5:11 a.m. |
| P0003.1_CMN_590_D550036.png | 565.7 kB | May 16, 2025, 5:10 a.m. |
| P0003.1_GAT_1375_D175435.png | 212.7 kB | April 14, 2026, 5:03 a.m. |
| P0003.1_GAT_1375_D337335.png | 338.1 kB | Dec. 12, 2024, 5:48 a.m. |
| P0003.1_GAT_1375_D337337.png | 307.7 kB | April 14, 2026, 5:03 a.m. |
| P0003.1_GAT_1375_D337355.png | 197.5 kB | June 28, 2024, 5:12 a.m. |
| P0003.1_GAT_1640_D175435.png | 168.0 kB | April 14, 2026, 5:04 a.m. |
| P0003.1_GAT_1640_D337335.png | 285.6 kB | Dec. 12, 2024, 5:49 a.m. |
| P0003.1_GAT_1640_D337337.png | 309.4 kB | April 14, 2026, 5:04 a.m. |
| P0003.1_GAT_1640_D337355.png | 201.5 kB | June 28, 2024, 5:14 a.m. |
| P0003.1_GAT_506_D175435.png | 126.1 kB | Nov. 8, 2023, 5:16 a.m. |
| P0003.1_GAT_506_D337337.png | 353.1 kB | Nov. 8, 2023, 5:16 a.m. |
| P0003.1_HEL_399_D073416.png | 471.3 kB | July 10, 2024, 5:04 a.m. |
| P0003.1_HEL_399_D073417.png | 138.2 kB | Aug. 23, 2024, 5:43 a.m. |
| P0003.1_HEL_399_D337336.png | 140.6 kB | July 17, 2025, 4:54 a.m. |
| P0003.1_HEL_399_D337352.png | 131.5 kB | April 13, 2026, 4:56 a.m. |
| P0003.1_HEL_399_D337364.png | 100.4 kB | Sept. 4, 2024, 7:56 a.m. |
| P0003.1_HEL_399_D337374.png | 490.5 kB | July 17, 2025, 4:54 a.m. |
| P0003.1_HEL_399_D920811.png | 443.8 kB | April 13, 2026, 4:56 a.m. |
| P0003.1_HEL_499_D073416.png | 311.2 kB | July 10, 2024, 5:06 a.m. |
| P0003.1_HEL_499_D073417.png | 157.9 kB | Aug. 23, 2024, 5:45 a.m. |
| P0003.1_HEL_499_D337336.png | 146.7 kB | July 17, 2025, 4:56 a.m. |
| P0003.1_HEL_499_D337352.png | 132.5 kB | April 13, 2026, 4:57 a.m. |
| P0003.1_HEL_499_D337364.png | 105.4 kB | Sept. 4, 2024, 7:56 a.m. |
| P0003.1_HEL_499_D337374.png | 288.1 kB | July 17, 2025, 4:55 a.m. |
| P0003.1_HEL_499_D920811.png | 315.1 kB | April 13, 2026, 4:57 a.m. |
| P0003.1_HPB_1178_D175433.png | 177.4 kB | April 13, 2026, 4:57 a.m. |
| P0003.1_HPB_1178_D337349.png | 318.3 kB | Jan. 28, 2025, 10:37 a.m. |
| P0003.1_HPB_1178_D337351.png | 292.1 kB | April 13, 2026, 4:57 a.m. |
| P0003.1_HPB_1516_D175433.png | 182.6 kB | April 13, 2026, 4:58 a.m. |
| P0003.1_HPB_1516_D337349.png | 357.8 kB | Jan. 28, 2025, 10:38 a.m. |
| P0003.1_HPB_1516_D337351.png | 351.0 kB | April 13, 2026, 4:58 a.m. |
| P0003.1_HPB_1640_D175433.png | 112.4 kB | Nov. 1, 2023, 5:14 a.m. |
| P0003.1_HPB_1640_D337349.png | 179.8 kB | Nov. 1, 2023, 5:14 a.m. |
| P0003.1_HPB_974_D175433.png | 125.5 kB | Oct. 6, 2023, 4:13 a.m. |
| P0003.1_HPB_974_D337349.png | 162.5 kB | Oct. 6, 2023, 4:13 a.m. |
| P0003.1_HPB_974_D780054.png | 171.9 kB | Sept. 28, 2023, 4:14 a.m. |
| P0003.1_HTM_1238_D319195.png | 329.3 kB | April 13, 2026, 5 a.m. |
| P0003.1_HTM_1238_D319208.png | 531.7 kB | Sept. 8, 2025, 4:51 a.m. |
| P0003.1_HTM_1238_D954997.png | 415.5 kB | April 13, 2026, 4:59 a.m. |
| P0003.1_HTM_1699_D319195.png | 107.1 kB | Sept. 8, 2025, 4:52 a.m. |
| P0003.1_HTM_1699_D319208.png | 185.2 kB | Sept. 8, 2025, 4:52 a.m. |
| P0003.1_HTM_506_D319195.png | 115.2 kB | April 13, 2026, 4:59 a.m. |
| P0003.1_HTM_506_D954997.png | 172.5 kB | April 13, 2026, 4:59 a.m. |
| P0003.1_HUN_1460_D006482.png | 125.6 kB | April 13, 2026, 5:01 a.m. |
| P0003.1_HUN_1460_D006490.png | 169.9 kB | March 4, 2026, 6:13 a.m. |
| P0003.1_HUN_1460_D006506.png | 302.9 kB | April 13, 2026, 5 a.m. |
| P0003.1_HUN_1460_D006507.png | 282.6 kB | Sept. 24, 2025, 5:03 a.m. |
| P0003.1_IPR_1075_D098391.png | 222.2 kB | April 13, 2026, 5:02 a.m. |
| P0003.1_IPR_1075_D462597.png | 168.2 kB | Feb. 6, 2026, 5:59 a.m. |
| P0003.1_IPR_1075_D462598.png | 170.4 kB | April 7, 2025, 4:51 a.m. |
| P0003.1_IPR_1075_D634363.png | 137.8 kB | April 13, 2026, 5:02 a.m. |
| P0003.1_IPR_619_D462597.png | 477.9 kB | Oct. 12, 2023, 9:16 a.m. |
| P0003.1_IPR_619_D634363.png | 248.8 kB | Oct. 12, 2023, 9:16 a.m. |
| P0003.1_IZO_1174_8000.png | 313.9 kB | April 13, 2026, 5:03 a.m. |
| P0003.1_IZO_1174_8001.png | 502.2 kB | Feb. 4, 2026, 6:02 a.m. |
| P0003.1_IZO_1174_8003.png | 359.5 kB | April 13, 2026, 5:03 a.m. |
| P0003.1_IZO_1237_8000.png | 207.2 kB | April 13, 2026, 5:04 a.m. |
| P0003.1_IZO_1237_8001.png | 297.3 kB | Feb. 4, 2026, 6:04 a.m. |
| P0003.1_IZO_1237_8003.png | 202.4 kB | April 13, 2026, 5:04 a.m. |
| P0003.1_JFJ_1102_D175448.png | 328.0 kB | April 13, 2026, 5:04 a.m. |
| P0003.1_JFJ_1102_D570052.png | 240.6 kB | March 12, 2026, 6:16 a.m. |
| P0003.1_JFJ_1102_D991125.png | 99.8 kB | April 13, 2026, 5:04 a.m. |
| P0003.1_JFJ_1788_D175444.png | 192.2 kB | March 12, 2026, 6:17 a.m. |
| P0003.1_JFJ_1788_D175450.png | 509.4 kB | April 13, 2026, 5:05 a.m. |
| P0003.1_JFJ_1788_D175452.png | 136.6 kB | April 13, 2026, 5:05 a.m. |
| P0003.1_JFJ_226_D175444.png | 154.0 kB | June 6, 2025, 5:11 a.m. |
| P0003.1_JFJ_226_D175450.png | 461.1 kB | June 6, 2025, 5:11 a.m. |
| P0003.1_JFJ_226_D175452.png | 360.0 kB | May 7, 2025, 5:10 a.m. |
| P0003.1_JFJ_226_D621867.png | 680.5 kB | May 24, 2024, 5:08 a.m. |
| P0003.1_JUE_1154_D337335.png | 282.3 kB | April 13, 2026, 5:06 a.m. |
| P0003.1_JUE_1154_D337360.png | 110.5 kB | April 13, 2026, 5:07 a.m. |
| P0003.1_JUE_1154_D337371.png | 390.9 kB | June 28, 2024, 5:30 a.m. |
| P0003.1_JUE_1154_D920810.png | 197.8 kB | Aug. 19, 2025, 5:01 a.m. |
| P0003.1_JUE_382_D337335.png | 534.7 kB | Jan. 29, 2026, 6:27 a.m. |
| P0003.1_JUE_382_D337360.png | 130.5 kB | Jan. 29, 2026, 6:27 a.m. |
| P0003.1_JUE_382_D920810.png | 147.9 kB | Jan. 29, 2026, 6:27 a.m. |
| P0003.1_JUE_460_D784284.png | 261.6 kB | April 16, 2024, 5:03 a.m. |
| P0003.1_JUE_857_D337335.png | 350.8 kB | April 13, 2026, 5:06 a.m. |
| P0003.1_JUE_857_D337360.png | 111.0 kB | April 13, 2026, 5:06 a.m. |
| P0003.1_JUE_857_D337371.png | 284.2 kB | June 28, 2024, 5:28 a.m. |
| P0003.1_JUE_857_D920810.png | 124.2 kB | Jan. 29, 2026, 6:28 a.m. |
| P0003.1_KIT_382_D337345.png | 294.1 kB | Jan. 10, 2024, 5:21 a.m. |
| P0003.1_KIT_382_D780053.png | 164.2 kB | Jan. 10, 2024, 5:21 a.m. |
| P0003.1_KIT_458_D337345.png | 375.1 kB | June 14, 2024, 5:11 a.m. |
| P0003.1_KIT_458_D337347.png | 98.7 kB | June 14, 2024, 5:11 a.m. |
| P0003.1_KIT_458_D780053.png | 122.5 kB | June 14, 2024, 5:11 a.m. |
| P0003.1_KIT_489_D337347.png | 318.3 kB | Nov. 14, 2025, 6:09 a.m. |
| P0003.1_KIT_489_D337364.png | 481.7 kB | April 13, 2026, 5:07 a.m. |
| P0003.1_KIT_489_D780053.png | 243.6 kB | April 13, 2026, 5:08 a.m. |
| P0003.1_KIT_702_D337345.png | 321.9 kB | June 14, 2024, 5:11 a.m. |
| P0003.1_KIT_702_D337347.png | 279.0 kB | Nov. 14, 2025, 6:10 a.m. |
| P0003.1_KIT_702_D337364.png | 309.6 kB | April 13, 2026, 5:08 a.m. |
| P0003.1_KIT_702_D780053.png | 208.7 kB | April 13, 2026, 5:08 a.m. |
| P0003.1_KRE_1496_D048629.png | 185.5 kB | April 13, 2026, 5:09 a.m. |
| P0003.1_KRE_1496_D048635.png | 397.5 kB | March 9, 2026, 6:36 a.m. |
| P0003.1_KRE_1496_D328209.png | 186.6 kB | April 13, 2026, 5:08 a.m. |
| P0003.1_KRE_1799_D048629.png | 133.3 kB | April 13, 2026, 5:09 a.m. |
| P0003.1_KRE_1799_D048635.png | 281.0 kB | March 9, 2026, 6:37 a.m. |
| P0003.1_KRE_1799_D328209.png | 174.4 kB | April 13, 2026, 5:09 a.m. |
| P0003.1_KRE_181_D048629.png | 216.2 kB | Aug. 27, 2025, 5 a.m. |
| P0003.1_KRE_181_D048635.png | 218.9 kB | Aug. 27, 2025, 4:59 a.m. |
| P0003.1_KRE_181_D328209.png | 328.0 kB | April 17, 2025, 5 a.m. |
| P0003.1_LIN_1515_D158552.png | 316.2 kB | Aug. 28, 2025, 5:03 a.m. |
| P0003.1_LIN_1515_D175436.png | 227.2 kB | Oct. 31, 2023, 5:16 a.m. |
| P0003.1_LIN_1515_D337348.png | 322.6 kB | April 13, 2026, 5:09 a.m. |
| P0003.1_LIN_1515_D337374.png | 319.7 kB | April 10, 2024, 5:04 a.m. |
| P0003.1_LIN_1515_D337378.png | 207.8 kB | April 13, 2026, 5:10 a.m. |
| P0003.1_LIN_1515_D920811.png | 324.4 kB | March 27, 2025, 5:59 a.m. |
| P0003.1_LIN_1677_D158552.png | 283.3 kB | Aug. 28, 2025, 5:04 a.m. |
| P0003.1_LIN_1677_D337348.png | 325.2 kB | April 13, 2026, 5:10 a.m. |
| P0003.1_LIN_1677_D337378.png | 166.0 kB | April 13, 2026, 5:10 a.m. |
| P0003.1_LIN_1677_D920811.png | 303.1 kB | March 27, 2025, 5:59 a.m. |
| P0003.1_LIN_498_D175436.png | 195.4 kB | Oct. 31, 2023, 5:16 a.m. |
| P0003.1_LIN_498_D337374.png | 224.2 kB | April 10, 2024, 5:03 a.m. |
| P0003.1_LIN_498_D337378.png | 177.8 kB | Oct. 11, 2024, 5:48 a.m. |
| P0003.1_LIN_498_D920811.png | 212.2 kB | Oct. 11, 2024, 5:48 a.m. |
| P0003.1_LMP_1198_D689023.png | 277.5 kB | April 13, 2026, 5:11 a.m. |
| P0003.1_LMP_1198_D689024.png | 254.4 kB | Sept. 21, 2023, 4:28 a.m. |
| P0003.1_LMP_1198_D884888.png | 479.0 kB | April 13, 2026, 5:11 a.m. |
| P0003.1_LMP_1198_D884889.png | 509.5 kB | March 19, 2025, 6:02 a.m. |
| P0003.1_LMP_1289_D689023.png | 134.5 kB | Sept. 1, 2025, 5:06 a.m. |
| P0003.1_LMP_1289_D884888.png | 181.7 kB | Sept. 1, 2025, 5:06 a.m. |
| P0003.1_LUT_460_D784284.png | 260.7 kB | June 24, 2024, 5:14 a.m. |
| P0003.1_LUT_465_D300602.png | 408.6 kB | April 13, 2026, 5:12 a.m. |
| P0003.1_LUT_465_D300603.png | 328.8 kB | Oct. 14, 2025, 5:09 a.m. |
| P0003.1_LUT_465_D634331.png | 341.4 kB | April 13, 2026, 5:11 a.m. |
| P0003.1_LUT_465_D644832.png | 266.2 kB | May 13, 2025, 5:16 a.m. |
| P0003.1_LUT_890_D300602.png | 193.4 kB | April 13, 2026, 5:12 a.m. |
| P0003.1_LUT_890_D300603.png | 222.9 kB | Oct. 14, 2025, 5:10 a.m. |
| P0003.1_LUT_890_D634331.png | 152.6 kB | April 13, 2026, 5:12 a.m. |
| P0003.1_LUT_890_D644832.png | 164.7 kB | May 13, 2025, 5:17 a.m. |
| P0003.1_MHD_695_581059.png | 222.2 kB | Dec. 3, 2024, 6:31 a.m. |
| P0003.1_MHD_695_B5650.png | 172.7 kB | Oct. 19, 2023, 4:17 a.m. |
| P0003.1_MHD_695_D139747.png | 182.1 kB | April 13, 2026, 5:13 a.m. |
| P0003.1_MHD_695_D139748.png | 221.0 kB | Aug. 20, 2025, 5:05 a.m. |
| P0003.1_MHD_695_D215820.png | 164.7 kB | Feb. 17, 2025, 6:03 a.m. |
| P0003.1_MHD_695_D634327.png | 424.9 kB | April 13, 2026, 5:13 a.m. |
| P0003.1_MHD_955_581059.png | 195.1 kB | Feb. 17, 2025, 6:03 a.m. |
| P0003.1_MHD_955_B5650.png | 168.0 kB | Oct. 19, 2023, 4:17 a.m. |
| P0003.1_MHD_955_D139747.png | 185.7 kB | April 13, 2026, 5:14 a.m. |
| P0003.1_MHD_955_D139748.png | 207.7 kB | Aug. 20, 2025, 5:06 a.m. |
| P0003.1_MHD_955_D215820.png | 215.8 kB | Feb. 17, 2025, 6:04 a.m. |
| P0003.1_MHD_955_D634327.png | 478.5 kB | April 13, 2026, 5:13 a.m. |
| P0003.1_NOR_462_D263950.png | 150.8 kB | July 4, 2025, 5:23 a.m. |
| P0003.1_NOR_462_D319201.png | 184.5 kB | April 13, 2026, 5:15 a.m. |
| P0003.1_NOR_462_D319214.png | 599.6 kB | March 19, 2026, 6:19 a.m. |
| P0003.1_NOR_462_D954996.png | 195.1 kB | April 13, 2026, 5:14 a.m. |
| P0003.1_OPE_379_D057625.png | 204.3 kB | April 13, 2026, 5:15 a.m. |
| P0003.1_OPE_379_D462600.png | 376.7 kB | Sept. 3, 2024, 5:16 a.m. |
| P0003.1_OPE_379_D860463.png | 223.2 kB | April 13, 2026, 5:15 a.m. |
| P0003.1_OPE_379_D860475.png | 142.3 kB | Dec. 17, 2025, 6:12 a.m. |
| P0003.1_OPE_506_D860463.png | 110.0 kB | Dec. 10, 2025, 6:15 a.m. |
| P0003.1_OPE_506_D860475.png | 183.7 kB | Dec. 10, 2025, 6:15 a.m. |
| P0003.1_OPE_728_D057625.png | 274.2 kB | April 13, 2026, 5:16 a.m. |
| P0003.1_OPE_728_D462600.png | 499.5 kB | Sept. 3, 2024, 5:17 a.m. |
| P0003.1_OPE_728_D860463.png | 299.6 kB | April 13, 2026, 5:16 a.m. |
| P0003.1_OPE_728_D860475.png | 467.1 kB | Dec. 17, 2025, 6:12 a.m. |
| P0003.1_OPE_967_D057625.png | 180.2 kB | April 13, 2026, 5:16 a.m. |
| P0003.1_OPE_967_D462600.png | 273.0 kB | Sept. 9, 2024, 5:19 a.m. |
| P0003.1_OPE_967_D860463.png | 182.2 kB | April 13, 2026, 5:17 a.m. |
| P0003.1_OPE_967_D860475.png | 136.6 kB | Dec. 17, 2025, 6:13 a.m. |
| P0003.1_OXK_1677_D337336.png | 150.6 kB | May 13, 2024, 5:24 a.m. |
| P0003.1_OXK_1677_D337341.png | 112.4 kB | May 13, 2024, 5:24 a.m. |
| P0003.1_OXK_1677_D780054.png | 196.4 kB | April 26, 2024, 5:47 a.m. |
| P0003.1_OXK_1800_D337341.png | 106.3 kB | April 13, 2026, 5:18 a.m. |
| P0003.1_OXK_1800_D337349.png | 158.1 kB | April 13, 2026, 5:17 a.m. |
| P0003.1_OXK_456_D073417.png | 382.0 kB | Sept. 5, 2025, 5:15 a.m. |
| P0003.1_OXK_456_D175436.png | 272.2 kB | July 26, 2024, 5:22 a.m. |
| P0003.1_OXK_456_D337336.png | 159.0 kB | May 13, 2024, 5:24 a.m. |
| P0003.1_OXK_456_D337341.png | 204.1 kB | April 13, 2026, 5:17 a.m. |
| P0003.1_OXK_456_D337349.png | 426.7 kB | April 13, 2026, 5:17 a.m. |
| P0003.1_OXK_456_D337359.png | 422.2 kB | Feb. 5, 2025, 6:07 a.m. |
| P0003.1_OXK_456_D337375.png | 380.9 kB | Feb. 20, 2024, 6:19 a.m. |
| P0003.1_OXK_456_D780054.png | 212.8 kB | April 26, 2024, 5:46 a.m. |
| P0003.1_OXK_534_D073417.png | 255.1 kB | Sept. 5, 2025, 5:16 a.m. |
| P0003.1_OXK_534_D175436.png | 266.2 kB | July 26, 2024, 5:23 a.m. |
| P0003.1_OXK_534_D337341.png | 180.8 kB | March 9, 2026, 6:50 a.m. |
| P0003.1_OXK_534_D337349.png | 291.1 kB | March 9, 2026, 6:50 a.m. |
| P0003.1_OXK_534_D337359.png | 272.6 kB | Feb. 5, 2025, 6:08 a.m. |
| P0003.1_OXK_534_D337375.png | 277.8 kB | Feb. 20, 2024, 6:20 a.m. |
| P0003.1_OXK_534_D780054.png | 117.1 kB | March 25, 2024, 7:14 a.m. |
| P0003.1_PAL_1133_D920974.png | 260.9 kB | March 14, 2024, 7:53 a.m. |
| P0003.1_PAL_1133_D920975.png | 183.6 kB | March 14, 2024, 7:54 a.m. |
| P0003.1_PAL_485_D348409.png | 164.2 kB | April 4, 2025, 5:12 a.m. |
| P0003.1_PAL_485_D920974.png | 690.9 kB | March 14, 2024, 7:51 a.m. |
| P0003.1_PAL_485_D920975.png | 204.5 kB | April 13, 2026, 5:18 a.m. |
| P0003.1_PAL_485_D920978.png | 725.3 kB | April 13, 2026, 5:18 a.m. |
| P0003.1_PRS_1798_D471475.png | 135.8 kB | April 13, 2026, 5:19 a.m. |
| P0003.1_PRS_1798_D669123.png | 111.5 kB | April 13, 2026, 5:19 a.m. |
| P0003.1_PRS_692_D471475.png | 152.4 kB | June 27, 2025, 5:29 a.m. |
| P0003.1_PRS_692_D669119.png | 153.4 kB | April 12, 2024, 5:38 a.m. |
| P0003.1_PRS_692_D669123.png | 199.2 kB | June 27, 2025, 5:29 a.m. |
| P0003.1_PUI_1175_D348368.png | 635.4 kB | March 12, 2025, 6:08 a.m. |
| P0003.1_PUI_1175_D348383.png | 280.1 kB | April 13, 2026, 5:20 a.m. |
| P0003.1_PUI_1175_D348405.png | 622.3 kB | April 13, 2026, 5:19 a.m. |
| P0003.1_PUY_473_D337581.png | 394.3 kB | April 13, 2026, 5:20 a.m. |
| P0003.1_PUY_473_D337582.png | 334.0 kB | April 13, 2026, 5:21 a.m. |
| P0003.1_PUY_473_D893477.png | 514.9 kB | Dec. 17, 2025, 6:17 a.m. |
| P0003.1_PUY_510_D337581.png | 162.6 kB | March 2, 2026, 6:38 a.m. |
| P0003.1_PUY_510_D337582.png | 172.8 kB | March 2, 2026, 6:39 a.m. |
| P0003.1_PUY_510_D893477.png | 246.2 kB | Dec. 17, 2025, 6:17 a.m. |
| P0003.1_RGL_115_D035632.png | 106.6 kB | May 22, 2024, 5:31 a.m. |
| P0003.1_RGL_115_D098381.png | 450.7 kB | April 13, 2026, 5:21 a.m. |
| P0003.1_RGL_115_D694718.png | 128.3 kB | April 13, 2026, 5:21 a.m. |
| P0003.1_RGL_1790_D098381.png | 151.4 kB | April 13, 2026, 5:21 a.m. |
| P0003.1_RGL_1790_D694718.png | 134.7 kB | April 13, 2026, 5:22 a.m. |
| P0003.1_RUN_249_400277.png | 223.2 kB | April 13, 2026, 5:29 a.m. |
| P0003.1_RUN_249_400289.png | 324.1 kB | Dec. 15, 2025, 6:27 a.m. |
| P0003.1_RUN_249_D856148.png | 331.9 kB | April 13, 2026, 5:29 a.m. |
| P0003.1_SAC_329_D035594.png | 557.2 kB | Jan. 9, 2026, 6:20 a.m. |
| P0003.1_SAC_329_D035595.png | 515.1 kB | May 14, 2025, 5:23 a.m. |
| P0003.1_SAC_329_D035597.png | 382.2 kB | April 13, 2026, 5:22 a.m. |
| P0003.1_SAC_329_D798546.png | 217.5 kB | April 13, 2026, 5:22 a.m. |
| P0003.1_SAC_329_D798547.png | 244.3 kB | Oct. 16, 2024, 5:15 a.m. |
| P0003.1_SAC_395_D035594.png | 483.0 kB | Jan. 9, 2026, 6:21 a.m. |
| P0003.1_SAC_395_D035595.png | 219.9 kB | May 14, 2025, 5:24 a.m. |
| P0003.1_SAC_395_D035597.png | 365.7 kB | April 13, 2026, 5:23 a.m. |
| P0003.1_SAC_395_D798546.png | 286.0 kB | April 13, 2026, 5:23 a.m. |
| P0003.1_SAC_395_D798547.png | 241.1 kB | Oct. 16, 2024, 5:16 a.m. |
| P0003.1_SAC_781_D035594.png | 347.5 kB | Jan. 9, 2026, 6:22 a.m. |
| P0003.1_SAC_781_D035595.png | 139.3 kB | May 14, 2025, 5:25 a.m. |
| P0003.1_SAC_781_D035597.png | 249.8 kB | April 13, 2026, 5:23 a.m. |
| P0003.1_SAC_781_D798546.png | 205.8 kB | April 13, 2026, 5:23 a.m. |
| P0003.1_SAC_781_D798547.png | 181.1 kB | Oct. 16, 2024, 5:17 a.m. |
| P0003.1_SMR_519_D348357.png | 221.9 kB | April 13, 2026, 5:24 a.m. |
| P0003.1_SMR_519_D348374.png | 502.9 kB | Dec. 19, 2025, 6:24 a.m. |
| P0003.1_SMR_519_D348378.png | 493.7 kB | Nov. 29, 2024, 6:33 a.m. |
| P0003.1_SMR_519_D348380.png | 478.7 kB | April 25, 2025, 5:28 a.m. |
| P0003.1_SMR_519_D348384.png | 381.1 kB | April 13, 2026, 5:24 a.m. |
| P0003.1_SMR_519_D348390.png | 294.5 kB | Nov. 29, 2024, 6:34 a.m. |
| P0003.1_SMR_519_D348403.png | 518.8 kB | May 9, 2024, 7:22 a.m. |
| P0003.1_SMR_519_d348374.png | 503.1 kB | Dec. 17, 2025, 6:34 a.m. |
| P0003.1_SNO_727_D158547.png | 341.2 kB | April 13, 2026, 5:24 a.m. |
| P0003.1_SNO_727_D689093.png | 166.1 kB | June 26, 2024, 6:27 a.m. |
| P0003.1_SNO_727_D689094.png | 255.1 kB | Aug. 30, 2024, 1:23 p.m. |
| P0003.1_SNO_727_D689098.png | 161.1 kB | April 13, 2026, 5:25 a.m. |
| P0003.1_SNO_727_D689099.png | 162.2 kB | Dec. 4, 2023, 5:32 a.m. |
| P0003.1_SSL_1072_D805921.png | 169.0 kB | April 13, 2026, 5:26 a.m. |
| P0003.1_SSL_1072_D805923.png | 127.0 kB | Sept. 1, 2025, 5:25 a.m. |
| P0003.1_SSL_1072_D805924.png | 150.2 kB | Jan. 13, 2026, 6:24 a.m. |
| P0003.1_SSL_1072_D805946.png | 199.5 kB | April 13, 2026, 5:25 a.m. |
| P0003.1_SSL_1074_D805921.png | 182.5 kB | March 4, 2026, 6:46 a.m. |
| P0003.1_SSL_1074_D805923.png | 188.5 kB | March 4, 2026, 6:46 a.m. |
| P0003.1_SSL_1074_D805924.png | 153.8 kB | March 18, 2025, 6:15 a.m. |
| P0003.1_SSL_1791_D805921.png | 110.8 kB | April 13, 2026, 5:26 a.m. |
| P0003.1_SSL_1791_D805924.png | 131.5 kB | Jan. 13, 2026, 6:24 a.m. |
| P0003.1_SSL_1791_D805946.png | 257.7 kB | April 13, 2026, 5:26 a.m. |
| P0003.1_SSL_881_D805921.png | 206.8 kB | April 13, 2026, 5:25 a.m. |
| P0003.1_SSL_881_D805923.png | 131.2 kB | Aug. 12, 2025, 5:25 a.m. |
| P0003.1_SSL_881_D805924.png | 339.4 kB | Jan. 9, 2026, 6:23 a.m. |
| P0003.1_SSL_881_D805946.png | 201.4 kB | April 13, 2026, 5:25 a.m. |
| P0003.1_STE_1749_D175436.png | 466.0 kB | Jan. 13, 2026, 6:25 a.m. |
| P0003.1_STE_1749_D337359.png | 271.4 kB | April 13, 2026, 5:27 a.m. |
| P0003.1_STE_1749_D337379.png | 160.6 kB | April 13, 2026, 5:27 a.m. |
| P0003.1_STE_487_D175436.png | 97.9 kB | Dec. 10, 2024, 6:30 a.m. |
| P0003.1_STE_487_D337359.png | 359.7 kB | Jan. 18, 2024, 5:32 a.m. |
| P0003.1_STE_487_D337379.png | 184.9 kB | Dec. 10, 2024, 6:30 a.m. |
| P0003.1_STE_487_D920812.png | 378.5 kB | Dec. 10, 2024, 6:30 a.m. |
| P0003.1_STE_533_D175436.png | 265.7 kB | Jan. 13, 2026, 6:25 a.m. |
| P0003.1_STE_533_D337359.png | 210.7 kB | April 13, 2026, 5:26 a.m. |
| P0003.1_STE_533_D337379.png | 194.9 kB | April 13, 2026, 5:27 a.m. |
| P0003.1_STE_533_D920812.png | 312.8 kB | Dec. 10, 2024, 6:30 a.m. |
| P0003.1_SVB_1399_D319196.png | 165.2 kB | May 20, 2025, 5:54 a.m. |
| P0003.1_SVB_1399_D319202.png | 379.1 kB | April 13, 2026, 5:27 a.m. |
| P0003.1_SVB_1399_D319207.png | 197.4 kB | April 13, 2026, 5:28 a.m. |
| P0003.1_SVB_1748_D319196.png | 156.8 kB | May 20, 2025, 5:55 a.m. |
| P0003.1_SVB_1748_D319202.png | 303.7 kB | April 13, 2026, 5:28 a.m. |
| P0003.1_SVB_1748_D319207.png | 156.3 kB | April 13, 2026, 5:28 a.m. |
| P0003.1_SVB_464_D319196.png | 324.0 kB | April 23, 2025, 5:11 a.m. |
| P0003.1_SVB_464_D319207.png | 177.4 kB | April 23, 2025, 5:12 a.m. |
| P0003.1_TOH_457_D073416.png | 493.2 kB | April 13, 2026, 5:29 a.m. |
| P0003.1_TOH_457_D158551.png | 106.0 kB | April 16, 2024, 5:27 a.m. |
| P0003.1_TOH_457_D158552.png | 513.2 kB | March 26, 2025, 6:18 a.m. |
| P0003.1_TOH_457_D337364.png | 476.6 kB | April 11, 2024, 5:32 a.m. |
| P0003.1_TOH_457_D337365.png | 232.7 kB | April 13, 2026, 5:30 a.m. |
| P0003.1_TOH_858_D073416.png | 378.1 kB | April 13, 2026, 5:30 a.m. |
| P0003.1_TOH_858_D158551.png | 120.8 kB | April 16, 2024, 5:27 a.m. |
| P0003.1_TOH_858_D158552.png | 267.7 kB | March 26, 2025, 6:18 a.m. |
| P0003.1_TOH_858_D337364.png | 373.8 kB | April 11, 2024, 5:33 a.m. |
| P0003.1_TOH_858_D337365.png | 213.6 kB | April 13, 2026, 5:30 a.m. |
| P0003.1_TRN_460_D784504.png | 227.9 kB | May 13, 2025, 5:35 a.m. |
| P0003.1_TRN_472_D655685.png | 617.6 kB | March 21, 2025, 6:20 a.m. |
| P0003.1_TRN_472_D856143.png | 507.5 kB | April 13, 2026, 5:31 a.m. |
| P0003.1_TRN_472_D893409.png | 348.8 kB | April 13, 2026, 5:31 a.m. |
| P0003.1_TRN_701_D655685.png | 269.8 kB | March 21, 2025, 6:20 a.m. |
| P0003.1_TRN_701_D856143.png | 305.6 kB | April 13, 2026, 5:31 a.m. |
| P0003.1_TRN_701_D893409.png | 223.8 kB | April 13, 2026, 5:32 a.m. |
| P0003.1_TRN_798_D655685.png | 152.2 kB | Feb. 3, 2025, 6:24 a.m. |
| P0003.1_TRN_798_D893409.png | 127.8 kB | Feb. 3, 2025, 6:24 a.m. |
| P0003.1_UTO_1495_D348365.png | 433.2 kB | March 26, 2025, 6:20 a.m. |
| P0003.1_UTO_1495_D348367.png | 227.5 kB | March 26, 2025, 6:21 a.m. |
| P0003.1_UTO_1495_D348410.png | 484.0 kB | June 5, 2024, 5:48 a.m. |
| P0003.1_UTO_460_D784504.png | 141.9 kB | Sept. 8, 2025, 5:24 a.m. |
| P0003.1_UTO_861_D784504.png | 116.7 kB | Sept. 8, 2025, 5:24 a.m. |
| P0003.1_UTO_999_D348365.png | 527.2 kB | April 13, 2026, 5:32 a.m. |
| P0003.1_UTO_999_D348367.png | 223.2 kB | April 13, 2026, 5:32 a.m. |
| P0003.1_UTO_999_D348410.png | 582.4 kB | Oct. 31, 2023, 5:25 a.m. |
| P0003.1_WAO_1400_D920969.png | 187.2 kB | April 13, 2026, 5:33 a.m. |
| P0003.1_WAO_1400_D994881.png | 262.0 kB | Jan. 21, 2026, 6:32 a.m. |
| P0003.1_WAO_1400_D996997.png | 198.4 kB | April 13, 2026, 5:34 a.m. |
| P0003.1_WAO_1400_D997007.png | 113.8 kB | Jan. 27, 2026, 6:32 a.m. |
| P0003.1_WAO_505_D689088.png | 336.8 kB | April 13, 2026, 5:33 a.m. |
| P0003.1_WAO_505_D920966.png | 656.9 kB | Aug. 7, 2024, 5:34 a.m. |
| P0003.1_WAO_505_D920969.png | 183.6 kB | Jan. 27, 2026, 6:32 a.m. |
| P0003.1_WAO_505_D997006.png | 626.0 kB | Jan. 21, 2026, 6:32 a.m. |
| P0003.1_WAO_505_D997007.png | 281.1 kB | April 13, 2026, 5:33 a.m. |
| P0003.1_WES_1153_D805941.png | 192.4 kB | April 13, 2026, 5:34 a.m. |
| P0003.1_WES_1153_D805944.png | 394.8 kB | April 13, 2026, 5:34 a.m. |
| P0003.1_WES_460_D784504.png | 263.0 kB | Jan. 28, 2025, 11:28 a.m. |
| P0003.1_WES_460_D805941.png | 133.0 kB | Aug. 29, 2024, 8:09 a.m. |
| P0003.1_WES_460_D805944.png | 123.5 kB | Aug. 29, 2024, 8:09 a.m. |
| P0003.1_ZEP_1272_D477542.png | 498.8 kB | April 13, 2026, 5:34 a.m. |
| P0003.1_ZEP_1272_D477543.png | 253.5 kB | April 13, 2026, 5:35 a.m. |
| P0003.1_ZEP_1272_D920834.png | 517.0 kB | April 4, 2025, 5:28 a.m. |
| P0003.1_ZSF_1167_D805931.png | 222.5 kB | April 13, 2026, 5:36 a.m. |
| P0003.1_ZSF_1167_D805934.png | 169.5 kB | March 20, 2025, 6:25 a.m. |
| P0003.1_ZSF_1167_D805935.png | 482.2 kB | April 13, 2026, 5:35 a.m. |
| P0003.1_ZSF_1482_D805931.png | 221.1 kB | April 13, 2026, 5:36 a.m. |
| P0003.1_ZSF_1482_D805932.png | 304.9 kB | March 14, 2025, 6:22 a.m. |
| P0003.1_ZSF_1482_D805934.png | 111.5 kB | March 20, 2025, 6:25 a.m. |
| P0003.1_ZSF_1482_D805935.png | 304.7 kB | April 13, 2026, 5:36 a.m. |
| P0003.1_ZSF_1495_D784506.png | 176.7 kB | Dec. 9, 2025, 6:41 a.m. |
| P0003.1_ZSF_861_D784506.png | 172.2 kB | Jan. 5, 2026, 6:31 a.m. |
| P0003.1_ZSF_880_D805931.png | 225.5 kB | Feb. 28, 2025, 6:27 a.m. |
| P0003.1_ZSF_880_D805932.png | 343.0 kB | Feb. 28, 2025, 6:26 a.m. |