P0002.3
Calibration last cycles (3 months)
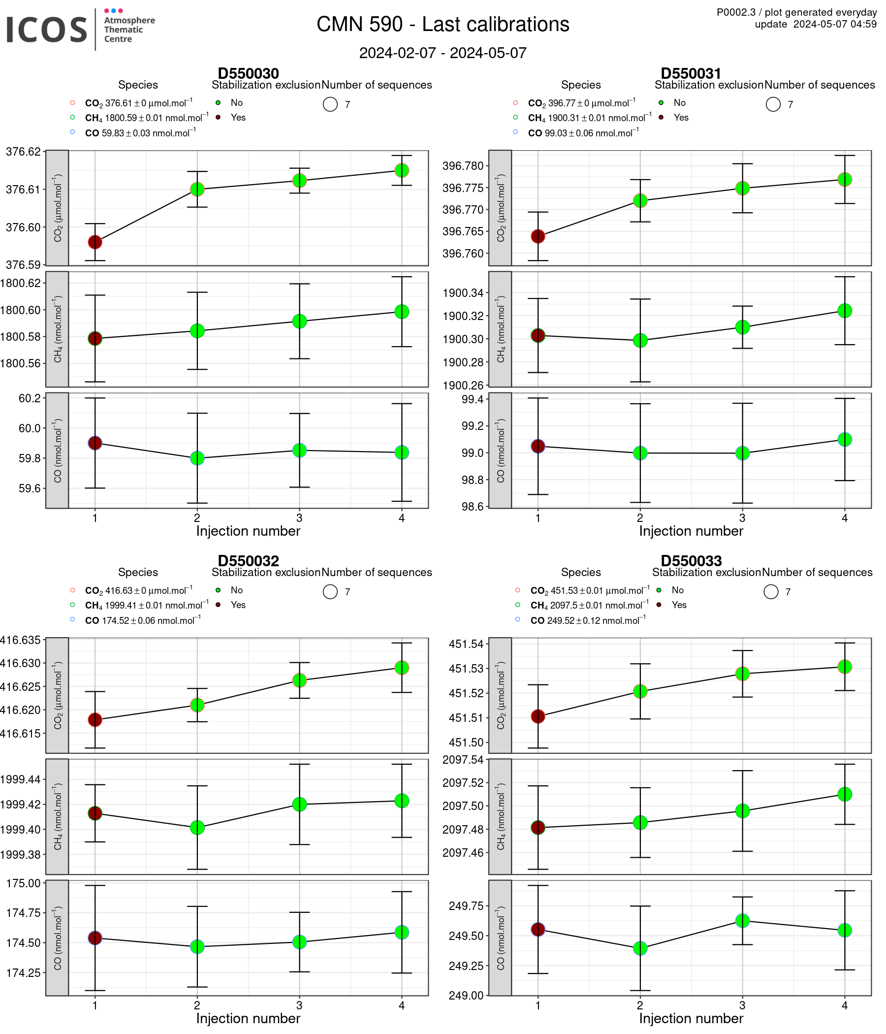
P0002.3 product shows the injection evolution for the last 3 months' calibration sequence, for each site/instrument. Each box plot displays the mean and standard deviation of the first, second, third, etc. injections of the calibrations sequences which occurred during the last 3 months.
Details:
- Type: calibration data
- Y-axis: species' molar fraction, in species' unit as written in axis' legend.
- Points: each point show the mean and standard deviation of all first (or second, or third, etc.) injections of all the calibration sequences of the timeframe.
- Points' size: depends on the number of calibration sequences used to calculate the mean and standard deviation of each point.
- Legend: mean and standard deviation of the mean value of each injection
- Flag filtering: only valid data are used to calculate mean and standard deviation
- Timeframe: 3 months
- Tanks: all tanks used in the calibrations which occurred in the timeframe. One "plot box" per tank
- Species: all species measured by the instrument. One plot line per species
| Name | Size | Last modified |
| P0002.3_BIR_547.png | 306.8 kB | May 7, 2024, 4:57 a.m. |
| P0002.3_CBW_1113.png | 230.6 kB | May 7, 2024, 4:58 a.m. |
| P0002.3_CBW_1514.png | 349.1 kB | Nov. 29, 2023, 5:23 a.m. |
| P0002.3_CBW_970.png | 237.8 kB | May 7, 2024, 4:57 a.m. |
| P0002.3_CBW_971.png | 222.9 kB | May 7, 2024, 4:58 a.m. |
| P0002.3_CMN_590.png | 337.9 kB | May 7, 2024, 4:59 a.m. |
| P0002.3_GAT_1375.png | 201.1 kB | May 7, 2024, 4:59 a.m. |
| P0002.3_GAT_1640.png | 215.0 kB | May 7, 2024, 4:59 a.m. |
| P0002.3_GAT_506.png | 217.8 kB | Nov. 29, 2023, 5:24 a.m. |
| P0002.3_HEL_399.png | 208.9 kB | May 7, 2024, 5 a.m. |
| P0002.3_HEL_499.png | 196.2 kB | May 7, 2024, 5 a.m. |
| P0002.3_HPB_1178.png | 208.2 kB | May 7, 2024, 5 a.m. |
| P0002.3_HPB_1516.png | 207.1 kB | May 7, 2024, 5:01 a.m. |
| P0002.3_HPB_1640.png | 212.7 kB | Nov. 29, 2023, 5:24 a.m. |
| P0002.3_HPB_974.png | 198.9 kB | Nov. 29, 2023, 5:24 a.m. |
| P0002.3_HTM_1238.png | 336.4 kB | May 7, 2024, 5:01 a.m. |
| P0002.3_HUN_1460.png | 248.4 kB | May 7, 2024, 5:01 a.m. |
| P0002.3_IPR_1075.png | 335.3 kB | May 7, 2024, 5:02 a.m. |
| P0002.3_IPR_619.png | 348.7 kB | Nov. 29, 2023, 5:25 a.m. |
| P0002.3_IZO_1174.png | 310.8 kB | May 7, 2024, 5:02 a.m. |
| P0002.3_IZO_1237.png | 218.8 kB | May 7, 2024, 5:03 a.m. |
| P0002.3_JFJ_1102.png | 199.0 kB | May 7, 2024, 5:04 a.m. |
| P0002.3_JFJ_226.png | 263.1 kB | May 7, 2024, 5:03 a.m. |
| P0002.3_JUE_1154.png | 201.6 kB | May 7, 2024, 5:05 a.m. |
| P0002.3_JUE_460.png | 250.7 kB | May 7, 2024, 5:04 a.m. |
| P0002.3_JUE_857.png | 197.7 kB | May 7, 2024, 5:05 a.m. |
| P0002.3_KIT_382.png | 206.2 kB | March 29, 2024, 6:35 a.m. |
| P0002.3_KIT_458.png | 200.1 kB | May 7, 2024, 5:05 a.m. |
| P0002.3_KIT_702.png | 201.3 kB | May 7, 2024, 5:06 a.m. |
| P0002.3_KRE_1496.png | 252.9 kB | May 7, 2024, 5:06 a.m. |
| P0002.3_KRE_181.png | 222.9 kB | May 7, 2024, 5:06 a.m. |
| P0002.3_LIN_1515.png | 197.6 kB | May 7, 2024, 5:07 a.m. |
| P0002.3_LIN_498.png | 186.5 kB | May 7, 2024, 5:07 a.m. |
| P0002.3_LMP_1198.png | 265.0 kB | May 7, 2024, 5:08 a.m. |
| P0002.3_LUT_465.png | 277.1 kB | May 7, 2024, 5:08 a.m. |
| P0002.3_LUT_890.png | 209.4 kB | May 7, 2024, 5:08 a.m. |
| P0002.3_MHD_695.png | 281.1 kB | May 7, 2024, 5:09 a.m. |
| P0002.3_MHD_955.png | 277.3 kB | May 7, 2024, 5:09 a.m. |
| P0002.3_NOR_462.png | 303.8 kB | May 7, 2024, 5:10 a.m. |
| P0002.3_OPE_379.png | 242.2 kB | May 7, 2024, 5:10 a.m. |
| P0002.3_OPE_728.png | 331.1 kB | May 7, 2024, 5:10 a.m. |
| P0002.3_OPE_967.png | 242.1 kB | May 7, 2024, 5:11 a.m. |
| P0002.3_OXK_1677.png | 214.9 kB | May 7, 2024, 5:12 a.m. |
| P0002.3_OXK_456.png | 199.0 kB | May 7, 2024, 5:11 a.m. |
| P0002.3_OXK_534.png | 213.5 kB | May 7, 2024, 5:11 a.m. |
| P0002.3_PAL_1133.png | 262.3 kB | April 8, 2024, 5:02 a.m. |
| P0002.3_PAL_485.png | 311.1 kB | May 7, 2024, 5:12 a.m. |
| P0002.3_PRS_529.png | 311.4 kB | Oct. 9, 2023, 4:23 a.m. |
| P0002.3_PRS_692.png | 203.4 kB | May 7, 2024, 5:13 a.m. |
| P0002.3_PUI_1175.png | 283.6 kB | May 7, 2024, 5:13 a.m. |
| P0002.3_PUY_473.png | 554.4 kB | May 7, 2024, 5:14 a.m. |
| P0002.3_PUY_510.png | 373.0 kB | May 7, 2024, 5:14 a.m. |
| P0002.3_RGL_115.png | 238.2 kB | May 7, 2024, 5:14 a.m. |
| P0002.3_RUN_249.png | 261.8 kB | May 7, 2024, 5:19 a.m. |
| P0002.3_SAC_329.png | 314.2 kB | May 7, 2024, 5:15 a.m. |
| P0002.3_SAC_395.png | 342.9 kB | May 7, 2024, 5:15 a.m. |
| P0002.3_SAC_781.png | 246.5 kB | May 7, 2024, 5:16 a.m. |
| P0002.3_SMR_519.png | 271.5 kB | May 7, 2024, 5:16 a.m. |
| P0002.3_SNO_727.png | 209.9 kB | May 7, 2024, 5:16 a.m. |
| P0002.3_SSL_1072.png | 243.2 kB | May 7, 2024, 5:17 a.m. |
| P0002.3_SSL_1074.png | 217.2 kB | May 7, 2024, 5:17 a.m. |
| P0002.3_SSL_881.png | 244.5 kB | May 7, 2024, 5:17 a.m. |
| P0002.3_STE_487.png | 208.0 kB | May 7, 2024, 5:18 a.m. |
| P0002.3_STE_533.png | 182.1 kB | May 7, 2024, 5:18 a.m. |
| P0002.3_SVB_1399.png | 293.1 kB | May 7, 2024, 5:19 a.m. |
| P0002.3_TOH_457.png | 200.5 kB | May 7, 2024, 5:19 a.m. |
| P0002.3_TOH_858.png | 195.7 kB | May 7, 2024, 5:20 a.m. |
| P0002.3_TRN_472.png | 312.0 kB | May 7, 2024, 5:20 a.m. |
| P0002.3_TRN_701.png | 220.0 kB | May 7, 2024, 5:20 a.m. |
| P0002.3_TRN_798.png | 248.8 kB | May 7, 2024, 5:20 a.m. |
| P0002.3_UTO_1495.png | 252.1 kB | May 7, 2024, 5:21 a.m. |
| P0002.3_UTO_999.png | 274.5 kB | Nov. 29, 2023, 5:30 a.m. |
| P0002.3_WAO_1400.png | 214.6 kB | May 7, 2024, 5:22 a.m. |
| P0002.3_WAO_505.png | 527.0 kB | May 7, 2024, 5:21 a.m. |
| P0002.3_WES_1153.png | 211.3 kB | May 7, 2024, 5:22 a.m. |
| P0002.3_ZEP_1272.png | 569.6 kB | May 7, 2024, 5:22 a.m. |
| P0002.3_ZSF_1482.png | 243.8 kB | May 7, 2024, 5:23 a.m. |
| P0002.3_ZSF_880.png | 243.3 kB | May 7, 2024, 5:23 a.m. |