P0002.2
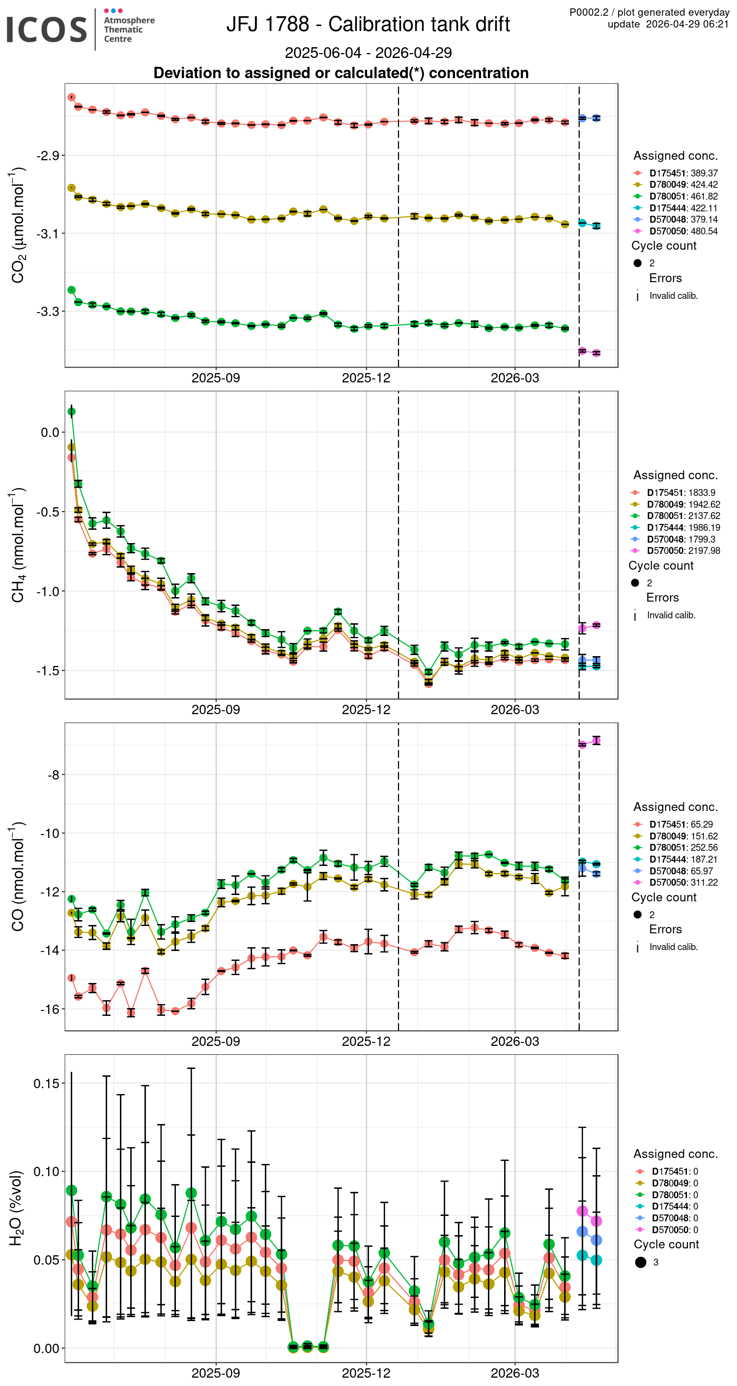
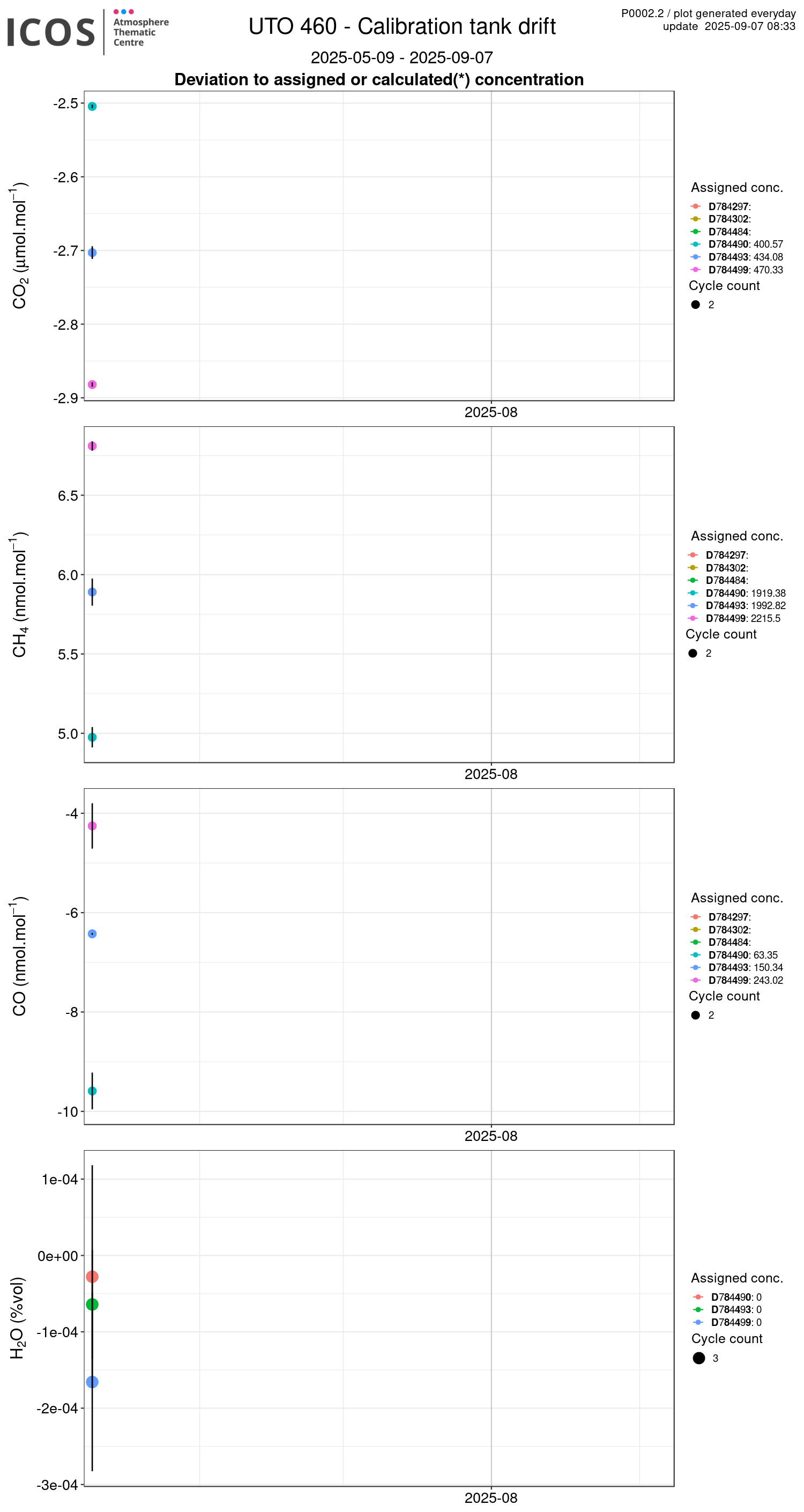
Calibration drift
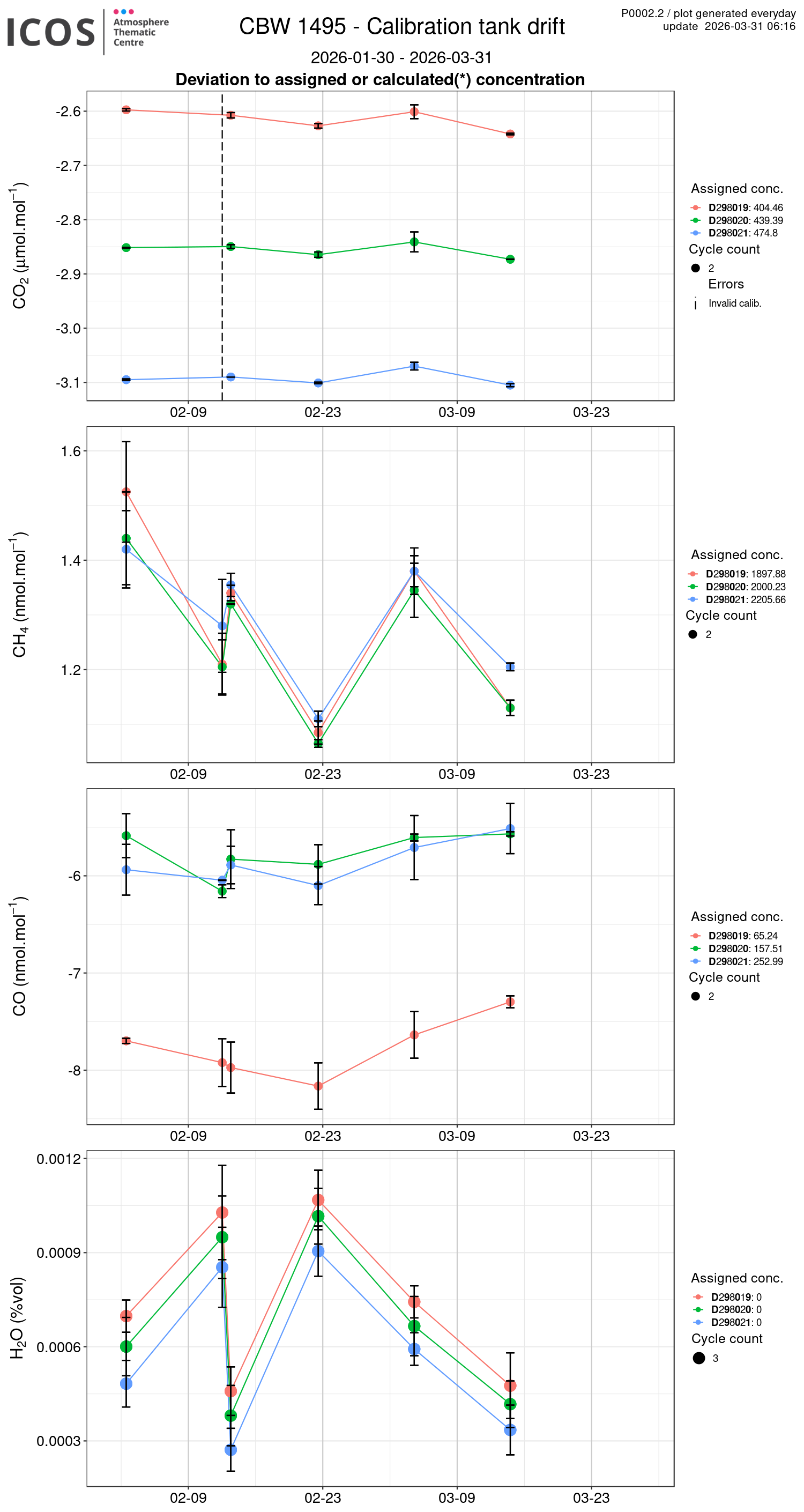
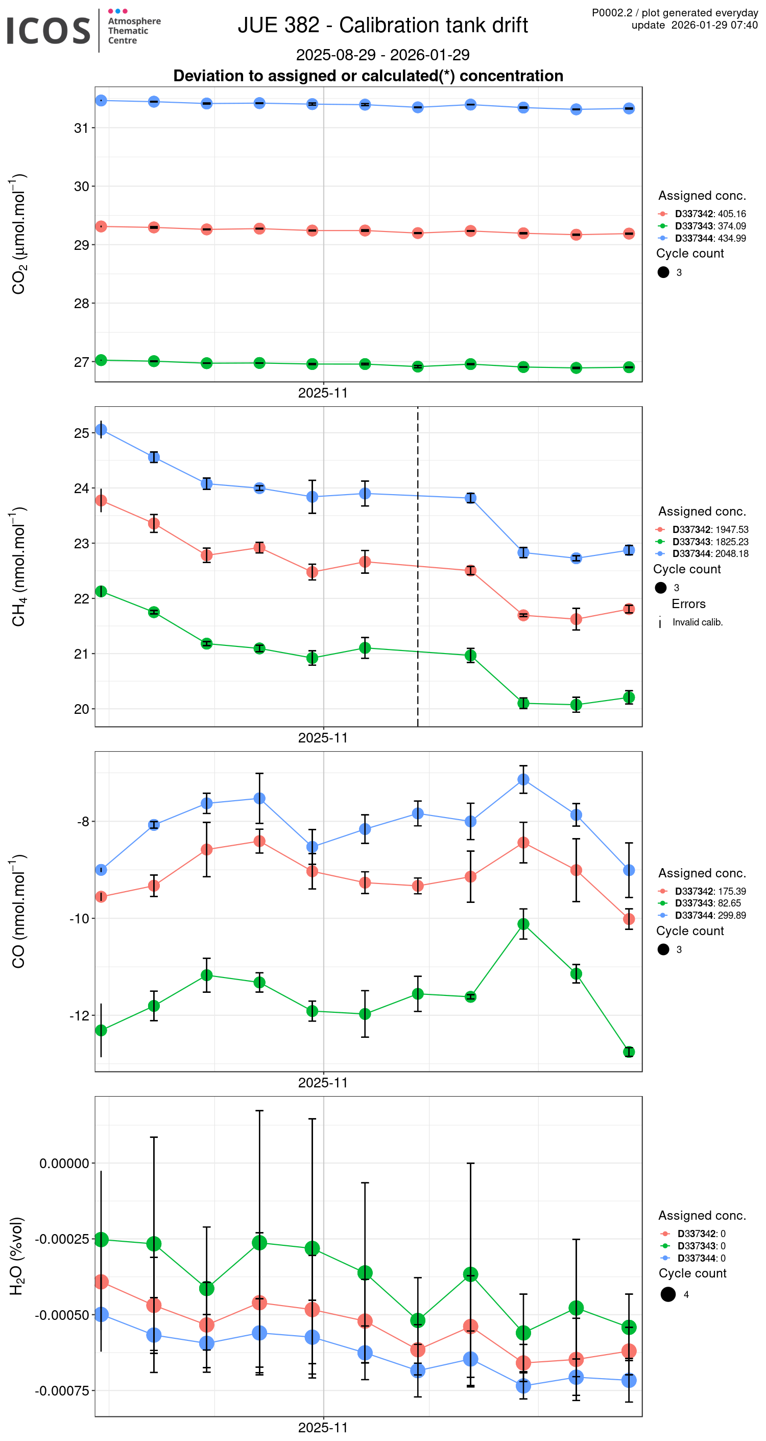
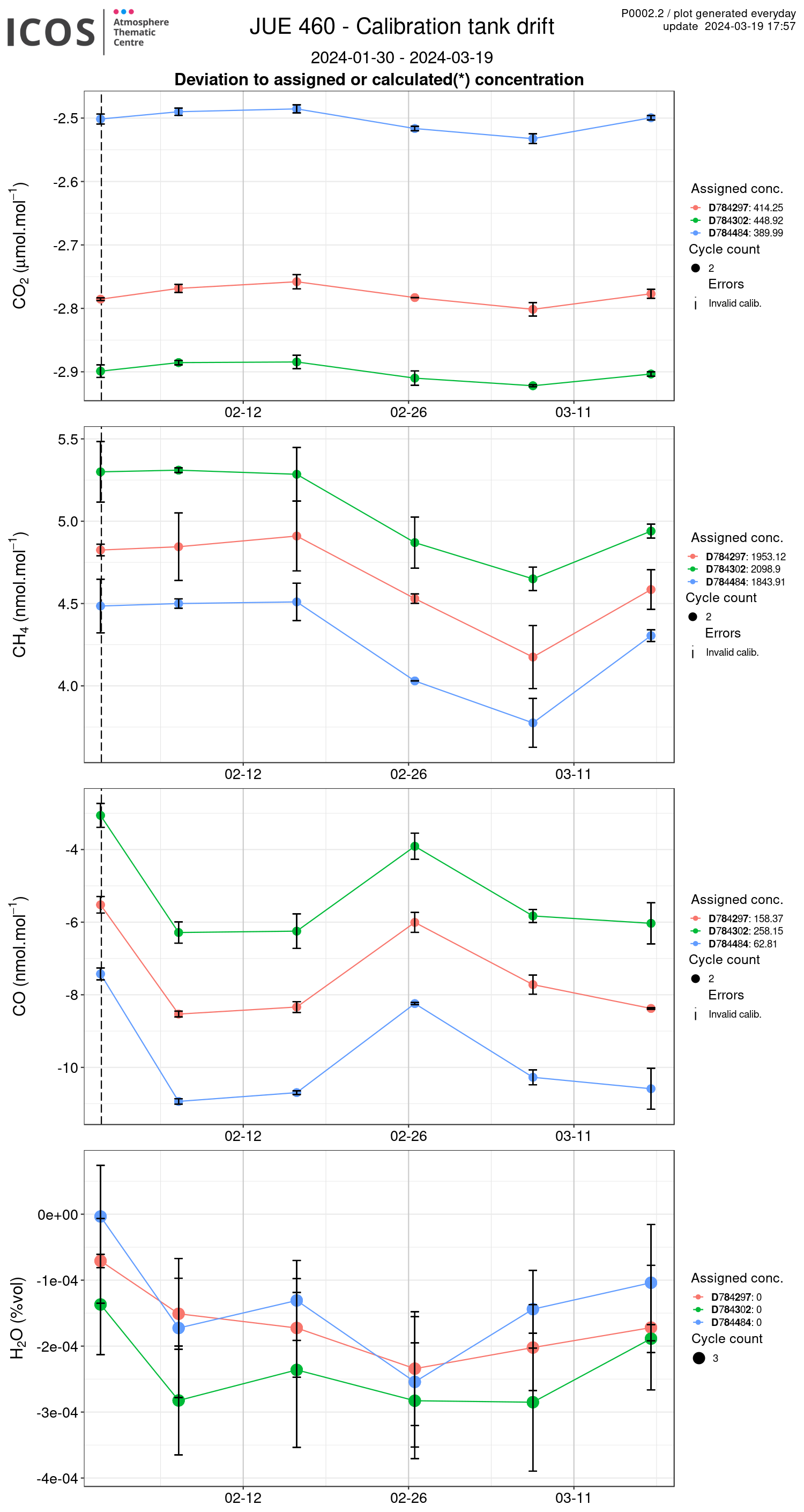
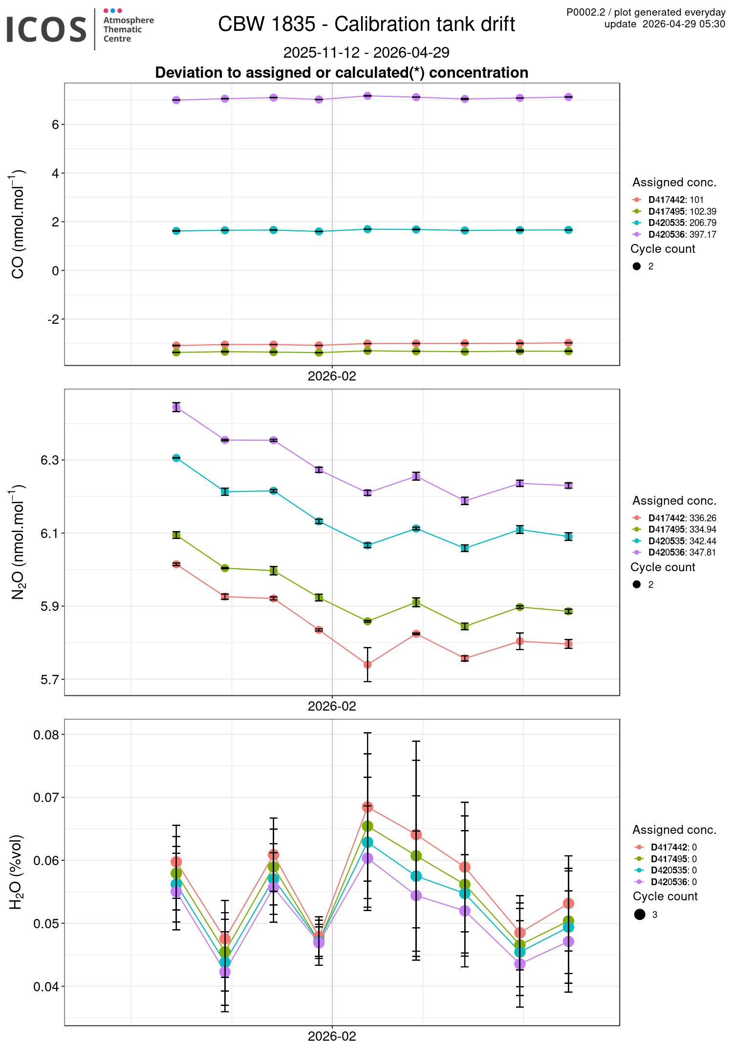
P0002.2 product shows calibration's tanks drift of each site/instrument. Each box plot displays the difference between the assigned or calculated tank's concentration and the mean of each valid and not stabilization-rejected injections of each sequence, for each tank. The number of cycles used to calculate the mean is given by the points size.
Details:
- Data used: calibration cycle data
- Y-axis: species' molar fraction: measured molar fraction minus assigned or calculated molar fraction
- Points: each point show the mean and standard deviation of injections of a given tank which are valid and not excluded due to the stabilization parameter.
- Points' size: Number of cycles (=injection in this case) used to calculate the mean and standard deviation.
- Timeframe: all timeseries
- Tanks: all tanks used in the displayed timeframe. One colored "line+dot" per tank
- Species: all species measured by the instrument. One "box plot" per species
| Name | Size | Last modified |
| P0002.2_BIR_547.png | 920.0 kB | April 14, 2026, 5:21 a.m. |
| P0002.2_CBW_1113.png | 549.4 kB | April 14, 2026, 5:36 a.m. |
| P0002.2_CBW_1495.png | 341.9 kB | March 31, 2026, 6:16 a.m. |
| P0002.2_CBW_1514.png | 535.7 kB | Sept. 21, 2023, 4:14 a.m. |
| P0002.2_CBW_1835.png | 277.3 kB | April 14, 2026, 5:36 a.m. |
| P0002.2_CBW_81.png | 205.9 kB | Sept. 21, 2023, 4:12 a.m. |
| P0002.2_CBW_861.png | 218.4 kB | March 31, 2026, 5:51 a.m. |
| P0002.2_CBW_970.png | 542.6 kB | April 14, 2026, 5:27 a.m. |
| P0002.2_CBW_971.png | 515.6 kB | April 14, 2026, 5:31 a.m. |
| P0002.2_CMN_1690.png | 451.6 kB | April 14, 2026, 5:38 a.m. |
| P0002.2_CMN_1793.png | 485.5 kB | April 14, 2026, 5:40 a.m. |
| P0002.2_CMN_590.png | 906.6 kB | May 16, 2025, 6 a.m. |
| P0002.2_GAT_1375.png | 435.1 kB | April 14, 2026, 5:43 a.m. |
| P0002.2_GAT_1640.png | 412.9 kB | April 14, 2026, 5:45 a.m. |
| P0002.2_GAT_413.png | 523.9 kB | Sept. 21, 2023, 4:20 a.m. |
| P0002.2_GAT_489.png | 338.3 kB | Sept. 21, 2023, 4:22 a.m. |
| P0002.2_GAT_506.png | 250.2 kB | Nov. 8, 2023, 5:21 a.m. |
| P0002.2_GAT_703.png | 531.1 kB | Sept. 21, 2023, 4:23 a.m. |
| P0002.2_HEL_399.png | 562.5 kB | April 14, 2026, 5:49 a.m. |
| P0002.2_HEL_489.png | 511.7 kB | Sept. 14, 2023, 4:03 p.m. |
| P0002.2_HEL_499.png | 493.3 kB | April 14, 2026, 5:53 a.m. |
| P0002.2_HEL_532.png | 350.6 kB | Sept. 14, 2023, 4:03 p.m. |
| P0002.2_HPB_1178.png | 424.9 kB | April 14, 2026, 5:55 a.m. |
| P0002.2_HPB_1516.png | 431.1 kB | April 14, 2026, 5:58 a.m. |
| P0002.2_HPB_1640.png | 217.6 kB | Oct. 31, 2023, 5:18 a.m. |
| P0002.2_HPB_382.png | 764.3 kB | Sept. 21, 2023, 4:29 a.m. |
| P0002.2_HPB_499.png | 574.0 kB | Sept. 21, 2023, 4:31 a.m. |
| P0002.2_HPB_506.png | 241.1 kB | Sept. 21, 2023, 4:31 a.m. |
| P0002.2_HPB_974.png | 404.4 kB | Oct. 5, 2023, 4:19 a.m. |
| P0002.2_HTM_1238.png | 803.6 kB | April 13, 2026, 5:52 a.m. |
| P0002.2_HTM_1699.png | 277.2 kB | Feb. 23, 2026, 7:45 a.m. |
| P0002.2_HTM_506.png | 243.6 kB | April 14, 2026, 5:58 a.m. |
| P0002.2_HUN_1460.png | 465.2 kB | April 13, 2026, 5:53 a.m. |
| P0002.2_IPR_1075.png | 655.4 kB | April 13, 2026, 5:56 a.m. |
| P0002.2_IPR_619.png | 696.4 kB | Oct. 12, 2023, 9:24 a.m. |
| P0002.2_IZO_1174.png | 781.0 kB | April 13, 2026, 6:02 a.m. |
| P0002.2_IZO_1237.png | 631.2 kB | April 13, 2026, 6:05 a.m. |
| P0002.2_JFJ_1102.png | 585.3 kB | April 13, 2026, 6:13 a.m. |
| P0002.2_JFJ_1788.png | 518.4 kB | April 13, 2026, 6:15 a.m. |
| P0002.2_JFJ_225.png | 498.7 kB | Sept. 21, 2023, 4:40 a.m. |
| P0002.2_JFJ_226.png | 631.5 kB | June 6, 2025, 6:25 a.m. |
| P0002.2_JFJ_412.png | 495.3 kB | Sept. 21, 2023, 4:53 a.m. |
| P0002.2_JFJ_529.png | 228.2 kB | Sept. 21, 2023, 4:54 a.m. |
| P0002.2_JFJ_798.png | 113.0 kB | Sept. 21, 2023, 4:54 a.m. |
| P0002.2_JUE_1154.png | 442.4 kB | April 13, 2026, 6:25 a.m. |
| P0002.2_JUE_382.png | 352.4 kB | Jan. 29, 2026, 7:40 a.m. |
| P0002.2_JUE_460.png | 335.9 kB | March 19, 2024, 4:57 p.m. |
| P0002.2_JUE_857.png | 421.7 kB | April 13, 2026, 6:21 a.m. |
| P0002.2_KIT_382.png | 350.6 kB | Jan. 9, 2024, 2:21 p.m. |
| P0002.2_KIT_458.png | 590.4 kB | June 14, 2024, 7:10 a.m. |
| P0002.2_KIT_489.png | 381.6 kB | April 13, 2026, 6:27 a.m. |
| P0002.2_KIT_702.png | 620.5 kB | April 13, 2026, 6:31 a.m. |
| P0002.2_KRE_148.png | 494.3 kB | Sept. 21, 2023, 4:59 a.m. |
| P0002.2_KRE_1496.png | 500.9 kB | April 13, 2026, 6:33 a.m. |
| P0002.2_KRE_172.png | 394.6 kB | Sept. 21, 2023, 5:01 a.m. |
| P0002.2_KRE_1799.png | 339.4 kB | April 13, 2026, 6:34 a.m. |
| P0002.2_KRE_181.png | 497.1 kB | Aug. 27, 2025, 6:21 a.m. |
| P0002.2_KRE_530.png | 457.7 kB | Sept. 21, 2023, 5:03 a.m. |
| P0002.2_LIN_1515.png | 417.2 kB | April 13, 2026, 6:35 a.m. |
| P0002.2_LIN_1677.png | 411.6 kB | April 13, 2026, 6:36 a.m. |
| P0002.2_LIN_413.png | 294.7 kB | Sept. 21, 2023, 5:03 a.m. |
| P0002.2_LIN_498.png | 643.7 kB | Oct. 11, 2024, 8:09 a.m. |
| P0002.2_LMP_1198.png | 642.9 kB | April 13, 2026, 6:38 a.m. |
| P0002.2_LMP_1289.png | 215.0 kB | Sept. 1, 2025, 6:36 a.m. |
| P0002.2_LMP_268.png | 506.9 kB | Sept. 14, 2023, 3:56 p.m. |
| P0002.2_LUT_460.png | 307.0 kB | June 24, 2024, 6:46 a.m. |
| P0002.2_LUT_465.png | 670.0 kB | April 13, 2026, 6:43 a.m. |
| P0002.2_LUT_890.png | 520.0 kB | April 13, 2026, 6:46 a.m. |
| P0002.2_MHD_695.png | 776.9 kB | April 13, 2026, 6:51 a.m. |
| P0002.2_MHD_955.png | 702.6 kB | April 13, 2026, 6:54 a.m. |
| P0002.2_NOR_462.png | 866.5 kB | April 13, 2026, 7:04 a.m. |
| P0002.2_OPE_187.png | 512.8 kB | Sept. 21, 2023, 5:15 a.m. |
| P0002.2_OPE_379.png | 622.5 kB | April 13, 2026, 7:07 a.m. |
| P0002.2_OPE_478.png | 260.4 kB | Sept. 21, 2023, 5:17 a.m. |
| P0002.2_OPE_501.png | 202.6 kB | Sept. 21, 2023, 5:17 a.m. |
| P0002.2_OPE_506.png | 352.8 kB | Dec. 10, 2025, 8:08 a.m. |
| P0002.2_OPE_717.png | 217.3 kB | Sept. 21, 2023, 5:17 a.m. |
| P0002.2_OPE_728.png | 803.7 kB | April 13, 2026, 7:12 a.m. |
| P0002.2_OPE_80.png | 619.8 kB | Sept. 21, 2023, 5:13 a.m. |
| P0002.2_OPE_91.png | 508.4 kB | Sept. 21, 2023, 5:14 a.m. |
| P0002.2_OPE_967.png | 466.5 kB | April 13, 2026, 7:13 a.m. |
| P0002.2_OXK_1677.png | 238.8 kB | May 13, 2024, 7:31 a.m. |
| P0002.2_OXK_1800.png | 211.9 kB | April 13, 2026, 7:18 a.m. |
| P0002.2_OXK_456.png | 474.4 kB | April 13, 2026, 7:17 a.m. |
| P0002.2_OXK_534.png | 531.7 kB | March 9, 2026, 9:35 a.m. |
| P0002.2_OXK_974.png | 219.3 kB | Sept. 21, 2023, 5:21 a.m. |
| P0002.2_PAL_1133.png | 412.8 kB | May 13, 2024, 7:43 a.m. |
| P0002.2_PAL_485.png | 937.4 kB | April 13, 2026, 7:27 a.m. |
| P0002.2_PRS_1798.png | 441.0 kB | April 13, 2026, 7:27 a.m. |
| P0002.2_PRS_529.png | 508.3 kB | Sept. 14, 2023, 3:54 p.m. |
| P0002.2_PRS_692.png | 399.4 kB | June 27, 2025, 7:41 a.m. |
| P0002.2_PUI_1175.png | 690.0 kB | April 13, 2026, 7:33 a.m. |
| P0002.2_PUY_473.png | 897.3 kB | April 13, 2026, 7:41 a.m. |
| P0002.2_PUY_510.png | 584.8 kB | March 2, 2026, 9:41 a.m. |
| P0002.2_RGL_115.png | 635.2 kB | April 13, 2026, 7:45 a.m. |
| P0002.2_RGL_1790.png | 336.7 kB | April 13, 2026, 7:46 a.m. |
| P0002.2_RGL_530.png | 248.6 kB | Sept. 14, 2023, 4:01 p.m. |
| P0002.2_RUN_249.png | 885.8 kB | April 13, 2026, 8:30 a.m. |
| P0002.2_SAC_329.png | 886.6 kB | April 13, 2026, 7:53 a.m. |
| P0002.2_SAC_395.png | 798.5 kB | April 13, 2026, 8 a.m. |
| P0002.2_SAC_781.png | 591.2 kB | April 13, 2026, 8:02 a.m. |
| P0002.2_SMR_311.png | 625.5 kB | Sept. 21, 2023, 5:36 a.m. |
| P0002.2_SMR_519.png | 736.2 kB | April 13, 2026, 8:08 a.m. |
| P0002.2_SNO_727.png | 514.4 kB | April 13, 2026, 8:10 a.m. |
| P0002.2_SSL_1072.png | 564.5 kB | April 13, 2026, 8:14 a.m. |
| P0002.2_SSL_1074.png | 561.9 kB | March 4, 2026, 10:34 a.m. |
| P0002.2_SSL_1791.png | 366.4 kB | April 13, 2026, 8:15 a.m. |
| P0002.2_SSL_529.png | 465.3 kB | Sept. 14, 2023, 4:05 p.m. |
| P0002.2_SSL_881.png | 325.5 kB | April 13, 2026, 8:11 a.m. |
| P0002.2_STE_1749.png | 397.1 kB | April 13, 2026, 8:19 a.m. |
| P0002.2_STE_487.png | 500.8 kB | Dec. 10, 2024, 9:05 a.m. |
| P0002.2_STE_533.png | 700.0 kB | April 13, 2026, 8:18 a.m. |
| P0002.2_SVB_1399.png | 683.6 kB | April 13, 2026, 8:22 a.m. |
| P0002.2_SVB_1748.png | 436.0 kB | April 13, 2026, 8:22 a.m. |
| P0002.2_SVB_464.png | 774.2 kB | April 23, 2025, 8:08 a.m. |
| P0002.2_TOH_271.png | 267.2 kB | Sept. 21, 2023, 5:46 a.m. |
| P0002.2_TOH_457.png | 626.9 kB | April 13, 2026, 8:33 a.m. |
| P0002.2_TOH_858.png | 559.2 kB | April 13, 2026, 8:36 a.m. |
| P0002.2_TRN_460.png | 264.2 kB | May 13, 2025, 8:34 a.m. |
| P0002.2_TRN_472.png | 841.6 kB | April 13, 2026, 8:43 a.m. |
| P0002.2_TRN_701.png | 576.1 kB | April 13, 2026, 8:45 a.m. |
| P0002.2_TRN_798.png | 230.2 kB | Feb. 3, 2025, 9:36 a.m. |
| P0002.2_UTO_1495.png | 506.0 kB | March 26, 2025, 9:24 a.m. |
| P0002.2_UTO_459.png | 148.6 kB | Sept. 7, 2025, 8:33 a.m. |
| P0002.2_UTO_460.png | 211.2 kB | Sept. 7, 2025, 8:33 a.m. |
| P0002.2_UTO_486.png | 521.9 kB | Sept. 21, 2023, 5:53 a.m. |
| P0002.2_UTO_861.png | 166.1 kB | Sept. 7, 2025, 8:34 a.m. |
| P0002.2_UTO_999.png | 650.0 kB | April 13, 2026, 8:48 a.m. |
| P0002.2_WAO_1400.png | 337.5 kB | April 13, 2026, 9:05 a.m. |
| P0002.2_WAO_505.png | 931.3 kB | April 13, 2026, 9:04 a.m. |
| P0002.2_WES_1153.png | 459.8 kB | April 13, 2026, 9:07 a.m. |
| P0002.2_WES_460.png | 256.1 kB | Jan. 21, 2025, 10:26 a.m. |
| P0002.2_ZEP_1272.png | 667.7 kB | April 13, 2026, 9:10 a.m. |
| P0002.2_ZEP_591.png | 518.8 kB | Sept. 14, 2023, 3:52 p.m. |
| P0002.2_ZSF_1073.png | 496.7 kB | Sept. 14, 2023, 4:04 p.m. |
| P0002.2_ZSF_1167.png | 472.3 kB | April 13, 2026, 9:11 a.m. |
| P0002.2_ZSF_1482.png | 447.4 kB | April 13, 2026, 9:13 a.m. |
| P0002.2_ZSF_1495.png | 208.1 kB | Dec. 9, 2025, 10:02 a.m. |
| P0002.2_ZSF_861.png | 170.9 kB | Jan. 5, 2026, 10:03 a.m. |
| P0002.2_ZSF_880.png | 603.0 kB | Feb. 27, 2025, 10:04 a.m. |