P0002.1
Calibration last cycle
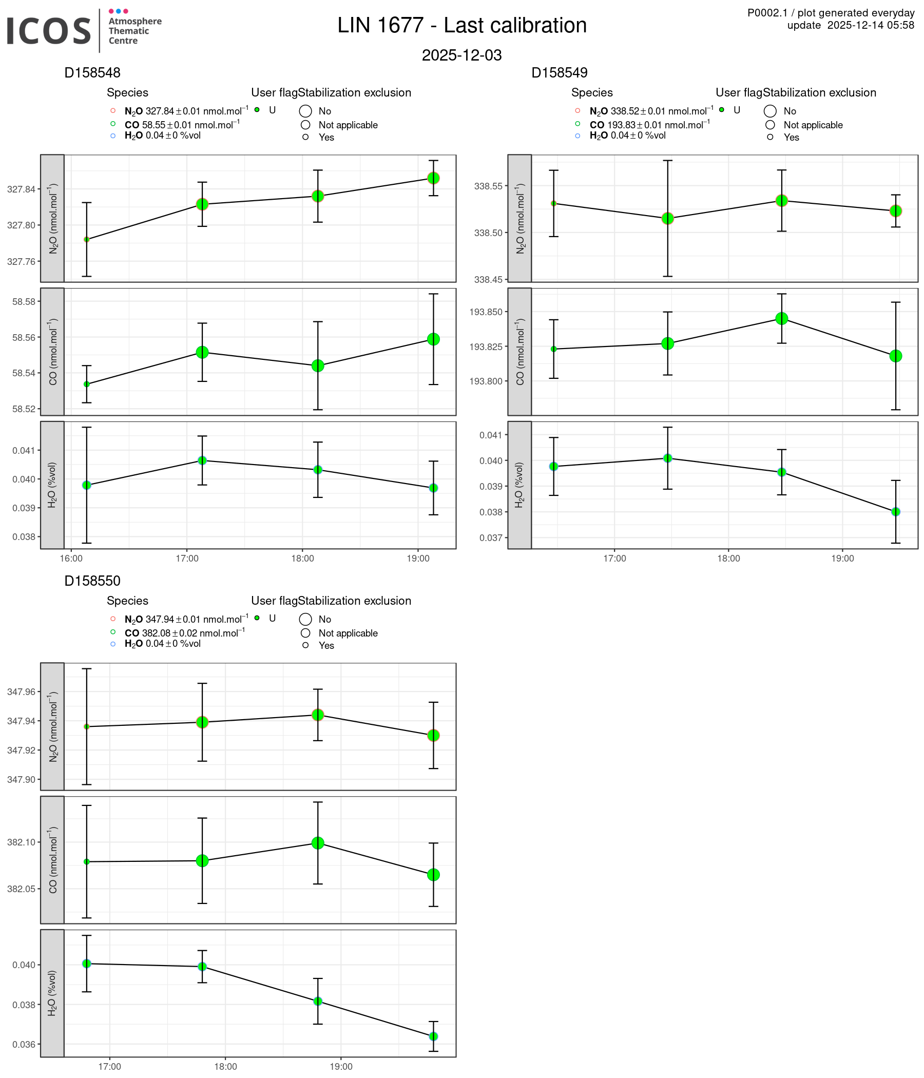
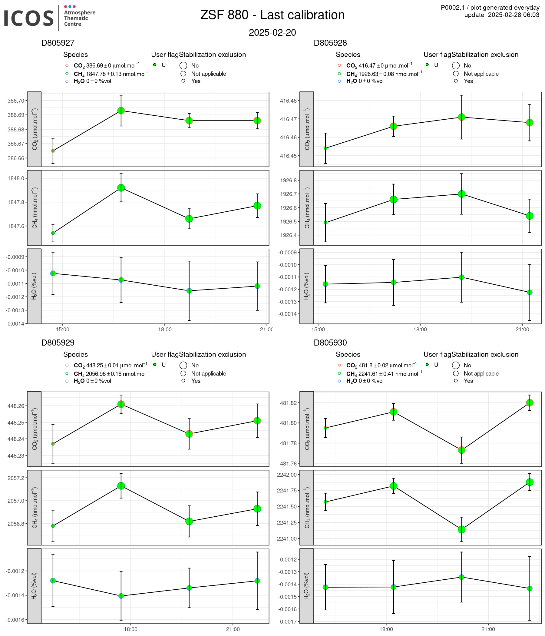
P0002.1 product shows the last calibration sequence of each site/instrument. Each box plot displays the mean and standard deviation of all injections. The points related to the injections excluded due to "number of stabilization cycles" parameter are smaller. Valid injection are displayed green, invalid injection are red.
Details:
- Type: calibration data
- Y-axis: species' molar fraction
- Points: each point show the mean and standard deviation of a single injection
- Points' size: small: the injection is excluded due to stabilization parameter. Large: injection not excluded. Medium: "number of stabilization cycles" parameter not set.
- Legend: mean and standard deviation of the mean value of each injection
- Flag filtering: no filtering. Invalid injections appear red, valid injections appear green
- Timeframe: last calibration. Date is given in the product's subtitle.
- Tanks: all tanks used in the last calibration. One "plot box" per tank
- Species: all species measured by the instrument. One plot line per species
| Name | Size | Last modified |
| P0002.1_BIR_547.png | 390.2 kB | April 14, 2026, 4:53 a.m. |
| P0002.1_CBW_1113.png | 290.5 kB | April 14, 2026, 4:54 a.m. |
| P0002.1_CBW_1495.png | 310.0 kB | March 31, 2026, 5:04 a.m. |
| P0002.1_CBW_1835.png | 302.9 kB | April 14, 2026, 4:55 a.m. |
| P0002.1_CBW_861.png | 237.6 kB | March 31, 2026, 5:02 a.m. |
| P0002.1_CBW_970.png | 298.0 kB | April 14, 2026, 4:54 a.m. |
| P0002.1_CBW_971.png | 295.6 kB | April 14, 2026, 4:54 a.m. |
| P0002.1_CMN_1690.png | 312.3 kB | April 14, 2026, 4:55 a.m. |
| P0002.1_CMN_1793.png | 383.3 kB | April 14, 2026, 4:55 a.m. |
| P0002.1_CMN_590.png | 358.6 kB | May 16, 2025, 5:09 a.m. |
| P0002.1_GAT_1375.png | 273.0 kB | April 14, 2026, 4:56 a.m. |
| P0002.1_GAT_1640.png | 269.7 kB | April 14, 2026, 4:56 a.m. |
| P0002.1_GAT_506.png | 264.9 kB | Nov. 8, 2023, 5:16 a.m. |
| P0002.1_HEL_399.png | 273.9 kB | April 14, 2026, 4:56 a.m. |
| P0002.1_HEL_499.png | 271.3 kB | April 14, 2026, 4:57 a.m. |
| P0002.1_HPB_1178.png | 263.7 kB | April 14, 2026, 4:57 a.m. |
| P0002.1_HPB_1516.png | 251.2 kB | April 14, 2026, 4:57 a.m. |
| P0002.1_HPB_1640.png | 262.1 kB | Nov. 1, 2023, 5:13 a.m. |
| P0002.1_HPB_974.png | 266.9 kB | Oct. 6, 2023, 4:13 a.m. |
| P0002.1_HTM_1238.png | 376.4 kB | April 14, 2026, 4:58 a.m. |
| P0002.1_HTM_1699.png | 311.9 kB | Feb. 23, 2026, 6:45 a.m. |
| P0002.1_HTM_506.png | 304.3 kB | April 14, 2026, 4:58 a.m. |
| P0002.1_HUN_1460.png | 301.3 kB | April 14, 2026, 4:58 a.m. |
| P0002.1_IPR_1075.png | 309.9 kB | April 14, 2026, 4:59 a.m. |
| P0002.1_IPR_619.png | 378.5 kB | Oct. 12, 2023, 9:15 a.m. |
| P0002.1_IZO_1174.png | 315.1 kB | April 14, 2026, 4:59 a.m. |
| P0002.1_IZO_1237.png | 267.5 kB | April 14, 2026, 5 a.m. |
| P0002.1_JFJ_1102.png | 229.6 kB | April 14, 2026, 5 a.m. |
| P0002.1_JFJ_1788.png | 286.6 kB | April 14, 2026, 5:01 a.m. |
| P0002.1_JFJ_226.png | 314.9 kB | June 6, 2025, 5:01 a.m. |
| P0002.1_JUE_1154.png | 261.7 kB | April 14, 2026, 5:01 a.m. |
| P0002.1_JUE_382.png | 330.1 kB | Jan. 29, 2026, 6:08 a.m. |
| P0002.1_JUE_460.png | 314.8 kB | April 16, 2024, 4:52 a.m. |
| P0002.1_JUE_857.png | 266.8 kB | April 14, 2026, 5:01 a.m. |
| P0002.1_KIT_382.png | 321.2 kB | Nov. 29, 2023, 5:25 a.m. |
| P0002.1_KIT_458.png | 263.8 kB | June 14, 2024, 5 a.m. |
| P0002.1_KIT_489.png | 317.7 kB | April 14, 2026, 5:02 a.m. |
| P0002.1_KIT_702.png | 281.4 kB | April 14, 2026, 5:02 a.m. |
| P0002.1_KRE_1496.png | 313.6 kB | April 14, 2026, 5:03 a.m. |
| P0002.1_KRE_1799.png | 285.9 kB | April 14, 2026, 5:03 a.m. |
| P0002.1_KRE_181.png | 294.2 kB | Aug. 27, 2025, 4:50 a.m. |
| P0002.1_LIN_1515.png | 264.7 kB | April 14, 2026, 5:03 a.m. |
| P0002.1_LIN_1677.png | 263.6 kB | April 14, 2026, 5:04 a.m. |
| P0002.1_LIN_498.png | 283.9 kB | Oct. 11, 2024, 5:33 a.m. |
| P0002.1_LMP_1198.png | 304.9 kB | April 14, 2026, 5:04 a.m. |
| P0002.1_LMP_1289.png | 248.4 kB | Sept. 1, 2025, 4:53 a.m. |
| P0002.1_LUT_460.png | 305.2 kB | June 24, 2024, 4:58 a.m. |
| P0002.1_LUT_465.png | 304.5 kB | April 14, 2026, 5:05 a.m. |
| P0002.1_LUT_890.png | 251.1 kB | April 14, 2026, 5:05 a.m. |
| P0002.1_MHD_695.png | 355.3 kB | April 14, 2026, 5:05 a.m. |
| P0002.1_MHD_955.png | 353.6 kB | April 14, 2026, 5:06 a.m. |
| P0002.1_NOR_462.png | 354.9 kB | April 14, 2026, 5:06 a.m. |
| P0002.1_OPE_379.png | 288.8 kB | April 14, 2026, 5:07 a.m. |
| P0002.1_OPE_506.png | 290.8 kB | Dec. 10, 2025, 6 a.m. |
| P0002.1_OPE_728.png | 363.4 kB | April 14, 2026, 5:07 a.m. |
| P0002.1_OPE_967.png | 302.5 kB | April 14, 2026, 5:08 a.m. |
| P0002.1_OXK_1677.png | 267.1 kB | May 13, 2024, 5:04 a.m. |
| P0002.1_OXK_1800.png | 272.9 kB | April 14, 2026, 5:08 a.m. |
| P0002.1_OXK_456.png | 272.2 kB | April 14, 2026, 5:08 a.m. |
| P0002.1_OXK_534.png | 255.9 kB | March 9, 2026, 6:26 a.m. |
| P0002.1_PAL_1133.png | 285.2 kB | Nov. 29, 2023, 5:28 a.m. |
| P0002.1_PAL_485.png | 362.0 kB | April 14, 2026, 5:09 a.m. |
| P0002.1_PRS_1798.png | 330.6 kB | April 14, 2026, 5:09 a.m. |
| P0002.1_PRS_692.png | 279.8 kB | June 27, 2025, 5:13 a.m. |
| P0002.1_PUI_1175.png | 316.1 kB | April 14, 2026, 5:10 a.m. |
| P0002.1_PUY_473.png | 349.6 kB | April 14, 2026, 5:10 a.m. |
| P0002.1_PUY_510.png | 296.5 kB | March 2, 2026, 6:16 a.m. |
| P0002.1_RGL_115.png | 254.6 kB | April 14, 2026, 5:10 a.m. |
| P0002.1_RGL_1790.png | 266.2 kB | April 14, 2026, 5:11 a.m. |
| P0002.1_RUN_249.png | 372.2 kB | April 14, 2026, 5:15 a.m. |
| P0002.1_SAC_329.png | 308.0 kB | April 14, 2026, 5:11 a.m. |
| P0002.1_SAC_395.png | 321.7 kB | April 14, 2026, 5:11 a.m. |
| P0002.1_SAC_781.png | 271.7 kB | April 14, 2026, 5:12 a.m. |
| P0002.1_SMR_519.png | 296.0 kB | April 14, 2026, 5:12 a.m. |
| P0002.1_SNO_727.png | 264.0 kB | April 14, 2026, 5:12 a.m. |
| P0002.1_SSL_1072.png | 302.2 kB | April 14, 2026, 5:13 a.m. |
| P0002.1_SSL_1074.png | 331.5 kB | March 4, 2026, 6:18 a.m. |
| P0002.1_SSL_1791.png | 289.7 kB | April 14, 2026, 5:13 a.m. |
| P0002.1_SSL_881.png | 293.8 kB | April 14, 2026, 5:13 a.m. |
| P0002.1_STE_1749.png | 260.5 kB | April 14, 2026, 5:14 a.m. |
| P0002.1_STE_487.png | 269.9 kB | Dec. 10, 2024, 6:01 a.m. |
| P0002.1_STE_533.png | 268.6 kB | April 14, 2026, 5:14 a.m. |
| P0002.1_SVB_1399.png | 330.9 kB | April 14, 2026, 5:14 a.m. |
| P0002.1_SVB_1748.png | 255.9 kB | April 14, 2026, 5:15 a.m. |
| P0002.1_SVB_464.png | 321.7 kB | April 23, 2025, 4:53 a.m. |
| P0002.1_TOH_457.png | 282.4 kB | April 14, 2026, 5:16 a.m. |
| P0002.1_TOH_858.png | 272.1 kB | April 14, 2026, 5:16 a.m. |
| P0002.1_TRN_460.png | 308.3 kB | May 13, 2025, 5:14 a.m. |
| P0002.1_TRN_472.png | 355.0 kB | April 14, 2026, 5:16 a.m. |
| P0002.1_TRN_701.png | 281.7 kB | April 14, 2026, 5:17 a.m. |
| P0002.1_TRN_798.png | 291.9 kB | Feb. 3, 2025, 6:02 a.m. |
| P0002.1_UTO_1495.png | 312.6 kB | March 26, 2025, 5:59 a.m. |
| P0002.1_UTO_460.png | 394.5 kB | Sept. 8, 2025, 5:03 a.m. |
| P0002.1_UTO_861.png | 293.1 kB | Sept. 8, 2025, 5:04 a.m. |
| P0002.1_UTO_999.png | 314.9 kB | April 14, 2026, 5:17 a.m. |
| P0002.1_WAO_1400.png | 271.3 kB | April 14, 2026, 5:18 a.m. |
| P0002.1_WAO_505.png | 581.5 kB | April 14, 2026, 5:18 a.m. |
| P0002.1_WES_1153.png | 318.5 kB | April 14, 2026, 5:18 a.m. |
| P0002.1_WES_460.png | 328.4 kB | Jan. 28, 2025, 10:55 a.m. |
| P0002.1_ZEP_1272.png | 376.3 kB | April 14, 2026, 5:19 a.m. |
| P0002.1_ZSF_1167.png | 394.2 kB | April 14, 2026, 5:19 a.m. |
| P0002.1_ZSF_1482.png | 304.3 kB | April 14, 2026, 5:19 a.m. |
| P0002.1_ZSF_1495.png | 323.1 kB | Dec. 9, 2025, 6:06 a.m. |
| P0002.1_ZSF_861.png | 242.6 kB | Jan. 5, 2026, 6:06 a.m. |
| P0002.1_ZSF_880.png | 316.3 kB | Feb. 28, 2025, 6:03 a.m. |